Chapter7-2

自动控制原理:频率响应分析

1. 极坐标图 (Polar Plots / Nyquist Plots)

image-20251227202734726

定义:G(jω)G(j\omega) 的极坐标图是指当频率 ω\omega00 变化到 \infty 时,复数向量 G(jω)G(j\omega) 在复平面上的幅值 G(jω)|G(j\omega)| 与相角 G(jω)\angle G(j\omega) 的轨迹。

  • 正相角:从正实轴开始逆时针旋转。
  • 负相角:从正实轴开始顺时针旋转。
  • 极坐标图通常被称为 奈奎斯特图 (Nyquist Plot)

1.1 典型环节的极坐标图

积分因子 1jω\frac{1}{j\omega}

G(jω)=1jω=j1ω=1ω90G(j\omega) = \frac{1}{j\omega} = -j\frac{1}{\omega} = \frac{1}{\omega}\angle -90^{\circ}

  • 轨迹:重合于负虚轴
    • ω0\omega \to 0G|G| \to \infty;当 ω\omega \to \inftyG0|G| \to 0

微分因子 jωj\omega

G(jω)=ω90G(j\omega) = \omega\angle 90^{\circ}

  • 轨迹:重合于正虚轴

一阶惯性环节 11+jωT\frac{1}{1+j\omega T}

image-20251227202940697 $$ G(j\omega) = \frac{1}{\sqrt{1+\omega^2 T^2}}\angle -\arctan(\omega T) $$
  • 关键点:
    • 零频率 ω=0\omega=0: 101\angle 0^{\circ} ,对应 (1,0)(1,0)
    • 转折频率 ω=1/T\omega=1/T: 1245\frac{1}{\sqrt{2}}\angle -45^{\circ} ,对应 (0.5,0.5)(0.5,0.5)
    • 无穷大频率 ω\omega \to \infty: 0900\angle -90^{\circ} ,对应极坐标上的原点
  • 形状:通过计算轨迹方程,可以得到是一个半圆,圆心在实轴上的 (0.5,0)(0.5, 0) 处,半径为 0.50.5

一阶微分环节 1+jωT1+j\omega T

image-20251227203030760
  • 轨迹:通过 (1,0)(1,0) 点且平行于虚轴的上半部直线。
  • 它与 11+jωT\frac{1}{1+j\omega T} 的极坐标图完全不同

二阶振荡环节

G(jω)=11+2ζ(jωωn)+(jωωn)2G(j\omega) = \frac{1}{1+2\zeta(j\frac{\omega}{\omega_n}) + (j\frac{\omega}{\omega_n})^2}

image-20251227203927801
  • 低频和高频的特性

    • 低频 (ω0\omega \to 0): 101\angle 0^{\circ}
    • 高频 (ω\omega \to \infty): 01800\angle -180^{\circ}
  • G(jω)G(j\omega)(1,0)(1,0) 开始,到原点结束,高频部分与负实轴相切趋于原点

  • 转折频率(无阻尼自然频率) ωn\omega_n:当 ω=ωn\omega = \omega_n 时,相角为 90-90^{\circ},此时轨迹与虚轴相交,交点值为 1j2ζ\frac{1}{j2\zeta}

    • G(jω)G(j\omega) 的轨迹与徐州交点处的频率即为无阻尼自然频率
  • 谐振频率 ωr\omega_r:对于欠阻尼情况 (ζ<0.707\zeta < 0.707),轨迹在谐振频率 ω=ωr\omega = \omega_r 处距离原点最远(幅值最大),对应 Bode plot 中的谐振峰。

image-20251227204004039
  • 对于过阻尼情况,当 ζ\zeta 增加到远大于 1 时,G(jω)G(j\omega) 的轨迹趋近于半圆
    • 我们可以用复频域分析中学过的内容来看这一点。对于强阻尼系统,特征方程的根为两个实根,且其中一个实根与虚轴距离远大于另一个实根。那个距离虚轴远的实根对系统的影响很小,那个距离虚轴近的实根占据主导地位,系统的特性与这个主导极点对应的一阶系统相似。
image-20251227204436163

二阶微分环节

G(jω)=1+2ζ(jωωn)+(jωωn)2=(1ω2ωn2)+j(2ζωωn)G(j\omega) = 1+2\zeta\left(j\frac{\omega}{\omega_n}\right) + \left(j\frac{\omega}{\omega_n}\right)^2 = \left( 1 - \frac{\omega^2}{\omega_n^2} \right) + j \left( \frac{2\zeta \omega}{\omega_n} \right)

  • 低频 (ω0\omega \to 0): 101\angle 0^{\circ}
  • 高频 (ω\omega \to \infty): 01800\angle -180^{\circ}
  • 故当 ω>0\omega > 0 时,G(jω)G(j\omega) 的虚部恒正且单调增加,G(jω)G(j\omega) 的实部从 1 开始单调减小,中间会由正变负,故轨迹会穿过虚轴,从第一象限运动到第三象限。
  • 相角由 00^{\circ}180180^{\circ}
image-20251227215207399

1.2 开环系统极坐标图的一般形状

假设开环传递函数为:

G(jω)=K(1+jωTa)(jω)λ(1+jωT1)(1+jωT2)G(j\omega) = \frac{K(1+j\omega T_a)\dots}{(j\omega)^\lambda (1+j\omega T_1)(1+j\omega T_2)\dots}

其中 λ\lambda 为系统型别(积分环节个数)。

image-20251118103725454

低频段特征 (ω0\omega \to 0):

  • 0型系统 (λ=0\lambda=0):起点在正实轴上的有限值 KK 处。
  • 1型系统 (λ=1\lambda=1):起点在无穷远处,渐近线平行于负虚轴(相角 90-90^{\circ})。
  • 2型系统 (λ=2\lambda=2):起点在无穷远处,渐近线平行于负实轴(相角 180-180^{\circ})。

高频段特征 (ω\omega \to \infty):

  • 幅值趋于 0。
  • 相角趋于 90×(nm)-90^{\circ} \times (n-m),其中 nn 为分母阶次,mm 为分子阶次。相角为 9090^{\circ} 的倍数,故曲线高频段最终会与一个坐标轴相切,具体是实轴还是虚轴要看数值。
  • 轨迹最终沿顺时针方向收敛于原点,并与坐标轴相切(切向取决于 nmn-m 的值)。

1.3 任意开环系统极坐标轨迹的大致形状判断方法

纯手绘不借助绘图软件的情况下,我们不可能画出精准的极坐标图。但是这不要紧,画极坐标图其实是为了用后面的Nyquist稳定判据去判断系统的稳定性,而只要掌握了几个关键点,就能确保画出的曲线的走线和大致形状是正确的,这就足够我们用极坐标图解决问题了。

G(jω)=K(1+jωTa)(jω)λ(1+jωT1)(1+jωT2)G(j\omega) = \frac{K(1+j\omega T_a)\dots}{(j\omega)^\lambda (1+j\omega T_1)(1+j\omega T_2)\dots}

极坐标轨迹形状判断的几个关键点:

  • 低频特性:对传递函数进行低频近似 limω0G(jω)=K(jω)λ\lim_{\omega \to 0}G(j\omega) = \frac{K}{(j\omega)^\lambda}。然后看低频近似传递函数的幅值和相角,判断起点。
    • 对于 Type 0 系统,起始于正实轴上的有限值 KK 处,可以直接求出起点。
    • 对于 Type 1 或者更加高型的系统,会起始于正无穷处,这时我们主要关心的是相角,相角为 90×K-90^{\circ} \times K 。有了相角,我们就可以得到低频渐近线的方向了。
      • 当然,也可以选择计算出实部和虚部,然后看实部 [G(jω)]\Re[G(j \omega)] 和虚部 [G(jω)]\Im [G(j\omega)] 的符号来判断低频渐近线的方向,但是一般情况直接用相角更快更方便。
  • 高频特性:对传递函数进行高频近似 limωG(jω)=K(jω)nm\lim_{\omega \to \infty} G(j\omega) = \frac{K}{(j\omega)^{n-m}}。(其中 nn 为分母阶次,mm 为分子阶次)。
    • 由于物理可实现的系统一般有 nmn \geq m,大部分传递函数 ω\omega \to \infty 都会沿顺时针方向收敛于原点。
    • 相角为 90×(nm)-90^{\circ} \times (n-m) ,这决定了 ω\omega \to \infty 的时候沿着哪个坐标轴的方向趋近原点,或者说高频段与哪个坐标轴相切。
    • 也可以选择计算出实部和虚部,然后看实部 [G(jω)]\Re[G(j \omega)] 和虚部 [G(jω)]\Im [G(j\omega)] 谁的无穷小阶次更高,或者说谁收敛得更快来判断低频渐近线的方向。不过这种方式很复杂,还是推荐用相角判断。
  • 中频特性:分析系统稳定性的关键,确定轨迹所在/经过的象限,以及是否发生穿过坐标轴,从一个象限运动到另一个象限。
    • 最关键的在于:负实轴交点

分析中频特性一般需要将传递函数化为实部和虚部分离的形式

G(jω)=[G(jω)]+j[G(jω)]G(j\omega) = \Re[G(j\omega)] + j \Im[G(j\omega)]

  • 分析 ω=0+\omega = 0^+ \to \infty 过程中实部 [G(jω)]\Re[G(j \omega)] 和虚部 [G(jω)]\Im [G(j\omega)] 的符号(正负性),即可确定轨迹是固定在一个象限,还是经过了几个象限,以及所有和坐标轴交点的情况。
  • 对于所有的负实轴交点,需要求出具体的坐标值。具体方法:令虚部 [G(jω)]=0\Im[G(j\omega)] = 0 ,解出交点对应的频率 ω\omega 值。然后将频率 ω\omega 值代入实部 [G(jω)]\Re[G(j\omega)],求出实部的值,负实轴交点坐标即为 ([G(jω)][G(jω)=0)],0)(\Re[G(j\omega)]|_{\Im[G(j\omega) = 0)_]},0) 。注意,这个实部的值一般是和系数 KK 有关的。

一些通用性质和技巧

  • 一般情况下,若极坐标轨迹有负实轴交点,负实轴交点坐标与 KK 为线性关系 [G(jω)]K\Re[G(j\omega)] \propto K 或者说有 [G(jω)]=ηK\Re[G(j\omega)] = \eta K。注意,系数 KK 必须是标准定义中的稳态增益/误差常数。如果系数定义在其他的地方,那么这个结论不成立。
    • 当然,如果一定要用这个结论,可以用类似之前那种等效开环函数的方法把其他系数转换到 KK 的位置上。
  • 注意:极坐标图的定义是 ω=0\omega = 0 \to \infty 复数向量 G(jω)G(j\omega) 在复平面上的变化规律,但是使用奈奎斯特判据时我们可能还会需要 ω=0\omega = -\infty \to 0 时的轨迹。根据共轭对称性,我们知道 G(jω)=G(jω)G(-j\omega) = G^*(j\omega),所以 ω=0\omega = -\infty \to 0 时的轨迹和 ω=0\omega = 0 \to \infty 时的轨迹关于实轴对称,通过这个性质我们就可以根据 00 \to \infty 的轨迹快速确定 0-\infty \to 0 时的轨迹。

2. 奈奎斯特稳定判据 (Nyquist Stability Criterion)

这是本章的核心,用于根据开环频率响应开环极点判断闭环系统的稳定性(绝对稳定性)。

Prerequisites

首先,我们需要将开环频率响应 G(jω)H(jω)G(j\omega)H(j\omega)1+G(s)H(s)1+G(s)H(s) 在右半S平面内的零点数和极点数联系起来。(假设单位负反馈)

开环传递函数

GH=P(s)Q(s)GH = \frac{P(s)}{Q(s)}

  • 开环零点 P(s)=0P(s) = 0
  • 开环极点 Q(s)=0Q(s) = 0

闭环传递函数

Gcl(s)=G1+GH=P(s)P(s)+Q(s)G_{cl}(s) = \frac{G}{1+GH} = \frac{P(s)}{P(s) + Q(s)}

  • 闭环零点 P(s)=0P(s) = 0
  • 闭环极点 P(s)+Q(s)=0P(s) + Q(s) = 0

特征方程

F(s)=1+GH=0    F(s)=P(s)+Q(s)Q(s)=0F(s) = 1 + GH = 0 \implies F(s) = \frac{P(s) + Q(s)}{Q(s)} = 0

  • 特征方程的零点 P(s)+Q(s)=0P(s) + Q(s) = 0,正好对应闭环极点
  • 特征方程的极点 Q(s)=0Q(s) = 0,正好对应开环极点

2.1 映射定理 (Mapping Theorem)

  • F(s)=1+G(s)H(s)F(s) = 1 + G(s)H(s)
  • 如果在 ss 平面上有一条不通过任何极点和零点的顺时针封闭曲线包围了 F(s)F(s)PP 个极点和 ZZ 个零点。那么这一封闭曲线映射到 F(s)F(s) 平面上,仍是一条封闭曲线,且在 F(s)F(s) 平面上,对应的封闭曲线将顺时针包围原点 NN 次。
  • 公式: 顺时针包围的次数为 $$N = Z - P$$

2.2 判据推导与表述

  • 目标:判断闭环系统是否稳定,即闭环极点(F(s)=1+G(s)H(s)F(s) = 1+G(s)H(s) 的零点)是否在右半 ss 平面。

  • 奈奎斯特路径/轨迹:在 ss 平面上取一条顺时针包围整个右半平面的封闭曲线,通常由虚轴 jωj\omega-\infty++\infty 和半径无穷大的右半圆组成。

    • 实际分析中,这个轨迹一般分为3段(虚轴上的两段+无穷远点)考虑其映射到 F(s)F(s) 平面的结果

      • ω=0+\omega = 0^+ \to \infty 这就是我们在极坐标图中讨论的极坐标轨迹
      • ω=0\omega = \infty \to 0^{-} 前面已经提到过,这一段的映射轨迹与极坐标轨迹对称
      • s=s = \infty 这一段映射到 F(s)F(s) 平面的结果为一个点。对于 n>mn > m 的物理可实现系统(大部分情况),一般是原点。如果 n=mn = m (比较少见的情况),由于我们讨论的都是实系数系统,一定是实轴上的点。
image-20251228144348546
  • 判据内容:$$Z = N + P$$
    • ZZ1+G(s)H(s)1+G(s)H(s) 在右半 ss 平面的零点数(即闭环系统在右半平面的极点数)。若要系统稳定,必须 Z=0Z=0
    • PPG(s)H(s)G(s)H(s) 在右半 ss 平面的极点数(即开环系统的不稳定极点数,已知)。
    • NNG(jω)H(jω)G(j\omega)H(j\omega) 轨迹关于 (1,j0)(-1, j0)顺时针包围次数。
  • 分析:不难发现,PP 来自系统中的非最小相位环节。对于最小相位系统,P=0P = 0

稳定性结论:

闭环系统稳定的充要条件是:

Z=0    N=PZ = 0 \implies N = -P

即:G(jω)H(jω)G(j\omega)H(j\omega) 的轨迹必须逆时针包围 (1,j0)(-1, j0)PP 次。

  • 特别地,如果开环系统是稳定的,或者说对于最小相位系统 (P=0P=0),则闭环系统稳定的条件是 G(jω)H(jω)G(j\omega)H(j\omega) 的轨迹不包围 (1,j0)(-1, j0) 点 (N=0N=0)。

2.3 特殊情况处理

当开环传递函数 G(s)H(s)G(s)H(s) 在原点或虚轴上有极点时:

  • 奈奎斯特路径不能穿过极点。
  • 修正方法:在原点/虚轴上的极点处,用一个半径 ϵ0\epsilon \to 0微小半圆(向右凸出)绕过原点/极点。
    • 也就是说,除了我们前面讨论过的3段轨迹,再添加一个原点附近向右凸出的无穷小半圆 s=ϵejθ,ϵ0,θ:90090s = \epsilon e^{j \theta}, \epsilon \to 0, \theta : -90^{\circ} \to 0^{\circ} \to 90^{\circ}
    • 按照习惯(方便),我们一般取向右突出的半圆,如果硬要取向左突出的半圆(或者题目要求这样做),也是可以的,这时半圆就变成了 s=ϵejθ,ϵ0,θ:90180270s = \epsilon e^{j \theta}, \epsilon \to 0, \theta : -90^{\circ} \to -180^{\circ} \to -270^{\circ} 。注意:由于取向左突出的半圆,原点(极点)也被包含在Nyquist轨迹内,这样轨迹内包围的极点数需要+1,即 P=P+1P' = P+1

假设一型系统,映射结果推导:在半径为 ϵ\epsilon (ϵ0\epsilon \to 0) 的半圆轨迹上,s的轨迹可以表示为 s=ϵejθ,ϵ0,θ:90090s = \epsilon e^{j \theta}, \epsilon \to 0, \theta : -90^{\circ} \to 0^{\circ} \to 90^{\circ}

映射到 G(s)H(s)G(s)H(s) 平面上的轨迹为

[G(s)H(s)]s=ϵejθKϵejθ=Kϵejθ[G(s)H(s)]_{s = \epsilon e^{j\theta}} \approx \frac{K}{\epsilon e^{j\theta}} = \frac{K}{\epsilon} e^{-j\theta}

幅值趋向于无穷大

[G(s)H(s)]s=ϵejθ=Kϵ\left|[G(s)H(s)]_{s = \epsilon e^{j\theta}}\right| = \frac{K}{\epsilon} \to \infty

相角为 9009090^{\circ} \to 0^{\circ} \to -90^{\circ},对应右边半圆

[G(s)H(s)]s=ϵejθ=θ=90090\angle [G(s)H(s)]_{s = \epsilon e^{j\theta}} = -\theta = 90^{\circ} \to 0^{\circ} \to -90^{\circ}

起始点和终止点为

G(j0)H(j0)=jG(j0+)H(j0+)=jG(j0^{-})H(j0^{-}) = j\infty \quad G(j0^{+})H(j0^{+}) = -j\infty

  • 我们这边认为 K>0K > 0(一般情况),K<0K < 0 就反过来变成左边半圆了
  • 如果在s平面上向左突出的半圆,映射轨迹会变成左边半圆,就不写详细推导过程了,可以自己试一下
image-20251228154749811

Type n系统,映射结果推导

映射到 G(s)H(s)G(s)H(s) 平面上的轨迹为

[G(s)H(s)]s=ϵejθK(ϵejθ)n=Kϵnejnθ[G(s)H(s)]_{s = \epsilon e^{j\theta}} \approx \frac{K}{(\epsilon e^{j\theta})^n} = \frac{K}{\epsilon^n} e^{-jn\theta}

幅值趋向于无穷大

[G(s)H(s)]s=ϵejθ=Kϵ\left|[G(s)H(s)]_{s = \epsilon e^{j\theta}}\right| = \frac{K}{\epsilon} \to \infty

相角为 nθ-n\theta。原轨迹是逆时针半圆,故映射轨迹是 nn 个半径无穷大的顺时针半圆

[G(s)H(s)]s=ϵejθ=nθ=n900n90\angle [G(s)H(s)]_{s = \epsilon e^{j\theta}} = -n\theta = n90^{\circ} \to 0^{\circ} \to -n90^{\circ}

image-20251228161232341

总结

  • 映射结果:对于Type 1系统,ss 平面上的微小半圆在 G(jω)H(jω)G(j\omega)H(j\omega) 平面上映射为半径无穷大的右边半圆
    • 需要特别注意:要正确判断该半圆是左半圆还是右半圆。显然,只取起始点和终止点是不够的,因为这样做不知道映射轨迹的旋转方向,一个比较好的方法是除了起始和终止辐角外再取一个中间的辐角 θ:90090\theta: -90^{\circ} \to 0^{\circ} \to 90^{\circ},3个点按照顺序映射就能清晰确定是左半圆还是右半圆。
  • 对于包含因子 1/sn1/s^n 的开环传递函数(Type n系统),映射为 nn半径无穷大的顺时针半圆(在无穷大圆绕行n个半圈)。
    • 由于转了 nn 个半圈的角度,我们,需要取更加密集的映射点(更加多的中间辐角)才能准确确定转的方向,例如可以取 θ:9060300306090\theta: -90^{\circ} \to -60^{\circ} \to -30^{\circ} \to 0^{\circ} \to 30^{\circ} \to 60^{\circ} \to 90^{\circ}
    • 当然其实也不必要取那么多点,因为映射曲线的绕行方向是固定的,顺时针就是顺时针,逆时针就是逆时针,不会在绕行中途改变!

2.4 Nyquist 稳定判据解题总结

拿到一道给出了开环传递函数 G(s)H(s)G(s)H(s),要求用 Nyquist 判据判定系统稳定性的题目,可遵循以下步骤解题:

  1. 看一下有无右半平面开环极点(尤其是多回路系统),有的话计算右半 ss 平面的开环极点数 PP,否则说一下 P=0P = 0 。非标准位置的参数(参数出现在分母上)可能会导致这一步也要分类讨论,应对方法参见后面的方案。

  2. 计算 Nyquist 轨迹在 G(s)H(s)G(s)H(s) 平面上的映射轨迹:分4段(若原点处无极点,只需3段),一定要正确地标上方向

    1. ω=0++\omega = 0^+ \to +\infty 即为极坐标轨迹,使用画极坐标轨迹的方法:低频,高频,中频。特别注意如存在负实轴交点,一定要计算出负实轴交点的坐标 ([G(jω)][G(jω)=0)],0)(\Re[G(j\omega)]|_{\Im[G(j\omega) = 0)_]},0),后面需要讨论它与 (1,j0)(-1,j0) 点的相对位置关系
    2. ω=0\omega = -\infty \to 0^{-} 这一段与极坐标轨迹对称,提一嘴然后在画图中体现即可,不需要重复讨论
    3. s=s = \infty 无穷远点映射为一个点,一般是原点
    4. 如原点是极点,用无穷小半圆绕过 s=ϵejθ,ϵ0,θ:90090s = \epsilon e^{j \theta}, \epsilon \to 0, \theta : -90^{\circ} \to 0^{\circ} \to 90^{\circ},参考前面的推导过程进行计算
  3. 分析讨论 G(s)H(s)G(s)H(s) 平面上的轨迹顺时针包围 (1,j0)(-1,j0) 点的次数 NN 。如有负实轴交点,负实轴交点与 (1,j0)(-1,j0) 的相对位置关系可能与参数 KK 有关,导致 NN 的值与 KK 有关,需对 KK 的取值进行分类讨论。(条件稳定系统)

  4. 根据映射定理,Z=N+PZ = N + P,应用稳定性判据,得出系统稳定性的结论。(如有负实轴交点,稳定性可能与 KK 相关,是条件稳定系统)

  5. 如有需要或有多余时间,可用根轨迹验算 Nyquist 判据的结论。(或者如果 Nyquist 太复杂算不下去了,可以先用根轨迹得到稳定性结论,再套到 Nyquist 的过程里反推,反正考试嘛,怎么好拿分怎么来)

非标准问题应对方案
  • 如果题目给出的参数不在标准 KK 的位置,建议参考根轨迹中非标准参数的方式,先转换成等效开环传递函数 Geq(s)G_{eq}(s) 和等效静态增益常数 KeqK_{eq},再套用我们的标准分析方法。
    • 当然,不转换直接用这套分析方法也能做,但是可能会增加分类讨论的分支,分析过程会变得比较复杂,得出的分析结果往往是非标准的,需要灵活应变。
  • 如果题目给出的是方框图,从方框图求开环传递函数。
  • 如果题目给出的是闭环传递函数,可以从闭环传递函数反解得到开环传递函数。

Gcl(s)=P(s)P(s)+Q(s)Gopen(s)=P(s)Q(s)=11Gcl(s)1=Gcl(s)1Gcl(s)G_{\text{cl}}(s) = \frac{P(s)}{P(s)+Q(s)} \to G_{\text{open}}(s) = \frac{P(s)}{Q(s)} = \frac{1}{\frac{1}{G_{cl}(s)} - 1} = \frac{G_{cl}(s)}{1 - G_{cl}(s)}

什么是包围?绕来绕去转晕了咋办?

包围的数学本质

想象有一根连接临界点 (1,j0)(-1, j0)曲线上某一点的橡皮筋(向量)。当该点沿着奈奎斯特曲线走完整个路径(ss 平面从 -\infty++\infty)时:

  • 如果这根橡皮筋围绕 (1,j0)(-1, j0) 转了整整 360360^\circ(即 2π2\pi),这就是一次包围。
  • 如果橡皮筋摆来摆去,但最终没有绕一整圈回到原位,这就不是包围(N=0N=0)。

实战大杀器:射线法(The Ray/Crossing Method)

对于极其复杂的轨迹,靠眼睛看“转了几圈”不仅累而且容易错。最可靠的方法是射线法

操作步骤:

  1. 画射线: 从临界点 (1,j0)(-1, j0) 出发,向任意方向画一条射线延伸到无穷远(通常为了方便,我们向左画,即沿着负实轴向 -\infty 画,或者任意你觉得穿越次数最少的方向)。

  2. 标记方向: 观察奈奎斯特曲线的箭头方向(即 ω\omega 增加的方向)。

  3. 统计穿越: 检查曲线与你画的射线相交的点。

    • 顺时针穿越(CW Crossing): 想象你就站在临界点上看射线。如果曲线的箭头是从你的左手边穿过射线到了右手边(即顺时针方向划过),记为 +1+1
    • 逆时针穿越(CCW Crossing): 如果曲线箭头是从右手边穿过射线到了左手边(即逆时针方向划过),记为 1-1
  4. 计算总数:

N=(顺时针穿越)(逆时针穿越)N = \sum (\text{顺时针穿越}) - \sum (\text{逆时针穿越})

结果解释:

  • 如果 N>0N > 0:表示顺时针包围了 NN 圈。
  • 如果 N<0N < 0:表示逆时针包围了 N|N| 圈。
  • 如果 N=0N = 0:表示未包围。

示例: 假设曲线像乱麻一样,但你画了一条射线。发现曲线穿过了射线 3 次。

  • 第 1 次:顺时针穿过 (+1+1)
  • 第 2 次:逆时针穿过 (1-1) —— 此时抵消了,等于没包围。
  • 第 3 次:顺时针穿过 (+1+1)
  • 结论: N=1N = 1,顺时针包围 1 圈。

3. 稳定性分析与相对稳定性

3.1 三种稳定性情况

  1. 绝对稳定:轨迹顺时针包围 (1,j0)(-1,j0) 的次数 NN 满足 N=PN=-P
  2. 不稳定:轨迹顺时针包围 (1,j0)(-1,j0) 的次数 NN 轨迹不满足 N=PN=-P
  3. 临界稳定:轨迹穿过 (1,j0)(-1, j0) 点,代表此时特征方程有虚根(有闭环极点位于虚轴上),系统处于临界振荡状态。

条件稳定系统

  • 指开环增益 KK 必须在某个特定范围内系统才稳定的情况。
  • 轨迹顺时针包围 (1,j0)(-1,j0) 的次数 NN 与参数 KK 的取值有关。
    • 某些 KK 的取值范围满足 N=PN=-P ,系统稳定。
    • 某些 KK 的取值范围(往往是开环增益 KK 足够大或足够小)不满足 N=PN=-P ,系统不稳定。
  • 在奈奎斯特图上表现为轨迹多次穿过负实轴,导致对 (1,j0)(-1, j0) 点的包围次数随增益变化而改变。

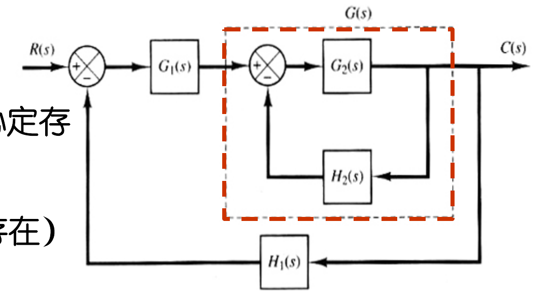
多回路系统的一些讨论

  • 对于多回路系统,不稳定的内部回路会给整个系统提供不稳定的开环极点(非最小相位环节)。
    • 如果内部回路有 Z1Z_1 个不稳定的开环极点,它就会为整个系统 Z1Z_1 个不稳定的开环极点。
image-20251228175844731

整个系统的开环传递函数

Gopen(s)=G1(s)G(s)H1(s)G_{\text{open}}(s) = G_1(s)G(s)H_1(s)

其中,内回路的闭环传递函数

G(s)=G2(s)1+G2(s)H2(s)G(s) = \frac{G_2(s)}{1+G_2(s)H_2(s)}

  • 内回路同样适用 Nyquist 稳定性判据:内回路的不稳定闭环极点数(RHP闭环极点数),即 1+G2(s)H2(s)1+G_2(s)H_2(s) 在右半平面内的零点数 Z1=N1+P1Z_1 = N_1 + P_1
    • 内回路开环函数 G2(s)H2(s)G_2(s)H_2(s)P1P_1 个极点
  • 最终,内回路会为整个系统提供 Z1Z_1 个不稳定的开环极点。

3.2 相对稳定性指标:开环频域指标

除了判断是否稳定,还需要知道系统离不稳定有多远(裕量)。

通过保角变换进行相对稳定性分析

  • 正弦稳态分析的最大优势在于:奈奎斯特图 G(jω)G(j\omega)不必是 ω\omega 的已知解析函数,整个奈奎斯特图可以直接通过实验得到。
    • 正弦信号发生器很容易得到,例如通过机械信号发生器或电子信号源。现代的矢量网络分析仪可以通过混频技术同时测量多个频点的输入和响应之间的关系。
    • 系统的输出幅值,相位可以很方便地使用仪器进行测量,结合输入,很容易得到正弦传递特性,画出波特图,奈奎斯特图等图谱。
    • 如果已知系统解析函数,那不如直接用根轨迹更加方便。正弦稳态分析的好处就在于它在系统函数未知(无法求解的)情况下,直接用实验去辨识系统的特性。
  • 我们的这些相对稳定性结论的分析前提
    • 讨论的系统具有单位反馈:这样开环传递函数和闭环传递函数具有一一对应关系
    • 最小相位系统:保证幅频特性和相频关系之间对应关系的唯一性,可以只看其中一个就确定另一个
image-20251228183207415
  • S平面上 σ=0\sigma = 0 直线(即 jωj\omega 轴)映射到 G(s)G(s) 平面上即为 Nyquist 图。
  • S平面上等 σ\sigma 直线映射到 G(s)G(s) 平面上是一些与奈奎斯特图相似的曲线,并且在某种意义上,它们平行于奈奎斯特图。
  • G(jω)G(j\omega) 轨迹对 1+j0-1+j0 点的靠近程度表征了稳定系统的相对稳定性。
  • 一般来说,G(jω)G(j\omega) 轨迹靠 1+j0-1+j0 点越近,阶跃瞬态响应中的最大过调量越大,阻尼衰减时间也越长。
image-20251228183223333

1. 增益交界频率 (ωc\omega_cω1\omega_1)

  • 定义:G(jω)=1|G(j\omega)| = 1 (即 0 dB0 \text{ dB}) 时的频率。
  • 有些地方称之为开环截止频率剪切频率。增益交界频率是针对开环传递函数而言的,注意和闭环截止频率区分(后面会介绍)

2. 相位交界频率 (ωg\omega_gωπ\omega_\pi)

  • 定义:G(jω)=180\angle G(j\omega) = -180^{\circ} 时的频率。

图形上的含义

  • 对数坐标图(Bode Plot)中,复平面上的临界点相对应于 0dB0 \text{dB}180180^\circ
  • 极坐标图中,为轨迹与单位圆交点和负实轴交点

3. 相位裕量 (γ\gamma, Phase Margin, PM)

  • 定义:在增益交界频率 ωc\omega_c 处,相角距离 180-180^{\circ} 的差值。
  • 公式:$$\gamma = 180^{\circ} + \angle G(j\omega_c)$$
  • 判据:对于最小相位系统,γ>0\gamma > 0 系统稳定。
  • 物理意义γ\gamma 越大,系统阻尼越大,超调量越小,系统的相对稳定性越好。

4. 增益裕量 (KgK_g, Gain Margin, GM)

  • 定义:在相位交界频率 ωg\omega_g 处,幅值 G(jωg)|G(j\omega_g)| 的倒数。
  • 公式
    • 数值:Kg=1G(jωg)K_g = \frac{1}{|G(j\omega_g)|}
    • 分贝:Kg(dB)=20lgG(jωg)K_g(\text{dB}) = -20 \lg |G(j\omega_g)|
  • 使用习惯:增益裕量为正指的是分贝数为正,即 Kg(dB)>0K_g(\text{dB}) > 0G(jωg)<1|G(j\omega_g)| < 1
  • 判据:对于最小相位系统,Kg(dB)>0K_g(\text{dB}) > 0 (即 G(jωg)<1|G(j\omega_g)| < 1) 系统稳定。
image-20251228183501436 image-20251228183545129 image-20251228184451782

对于相对稳定性指标的理解

  • 对于稳定的最小相位系统,增益裕量指出了系统在不稳定之前,增益能够增加到多大。对于不稳定系统,增益裕量指出了为使系统稳定,增益应当减小多少。
    • 一阶或二阶系统的增益裕量为无穷大,理论上一阶或二阶系统不可能是不稳定的。
  • 我们的结论不适用非最小相位系统(讨论前提那里已经说过了)
    • 对具有不稳定开环系统的非最小相位系统,除非 G(jω)G(j\omega) 图包围 1+j0-1+j0 点,否则不能满足稳定条件。因此,这种稳定的非最小相位系统(反而)将具有负的相位和增益裕量
  • 多个交界频率的处理:条件稳定系统将具有两个或多个相位交界频率,并且某些具有复杂分子(复杂动态特性)的高阶系统,可能具有两个或多个交界频率,也可能具有两个或多个相位交界频率
    • 相位裕度:对于具有两个或多个增益交界频率的稳定系统,相位裕度应在最高的增益交界频率上测量。因为高频段往往对应系统的带宽边界,这里的相位滞后最大,最容易导致闭环不稳定。
    • 增益裕度:系统的增益裕度应该取所有相位交界频率对应的增益裕度中最小的那一个(最薄弱环节决定整个系统的稳定性)。
image-20251228190038146

其他的一些说明

  • 控制系统的相位裕量和增益裕量是系统的极坐标图对 1+j0-1+j0 点靠近程度的度量。

  • 为了确定系统的相对稳定性必须同时给出增益裕量和相位裕量

  • 对于最小相位系统,只有当相位裕量和增益裕量都是正值时,系统才是稳定的。

    • 对于最小相位系统,开环传递函数的幅值和相位特性有固定的关系。
  • 判断非最小相位系统的稳定性,Nyquist 判据才是系统稳定性的最终判据,最好采用奈奎斯特图来判断,而不是仅看伯德图(伯德图会有一定的误导性)。


4. 闭环频率响应 (Closed-Loop Frequency Response)

4.1 标准二阶系统阶跃瞬态响应与频率响应之间的关系

标准二阶系统:从开环到闭环

标准二阶系统的开环传递函数与开环正弦传递函数

G(s)=ωn2s(s+2ζωn)    G(jω)=ωn2jω(jω+2ζωn)G(s) = \frac{\omega_n^2}{s(s+2\zeta\omega_n)} \implies G(j\omega) = \frac{\omega_n^2}{j\omega(j\omega+2\zeta\omega_n)}

闭环传递函数正是我们熟悉的正弦传递函数二阶因子

C(jω)R(jω)=11+2ζ(jωωn)+(jωωn)2\frac{C(j\omega)}{R(j\omega)} = \frac{1}{1+2\zeta\left(j\dfrac{\omega}{\omega_n}\right)+\left(j\dfrac{\omega}{\omega_n}\right)^2}

幅值与相角

G(jω)=1(1ω2ωn2)2+(2ζωωn)2ϕ=arctan[2ζωωn1(ωωn)2]|G(j\omega)| = \frac{1}{\sqrt{\left(1 - \frac{\omega^2}{\omega_n^2}\right)^2 + \left(2\zeta \frac{\omega}{\omega_n}\right)^2}} \quad \phi = - \arctan \left[ \frac{2\zeta \frac{\omega}{\omega_n}}{1 - (\frac{\omega}{\omega_n})^2} \right]

image-20251228211859107

二阶系统相位裕量的推导

先求增益交界频率,令 G(jω)=1|G(j\omega)| = 1,解得

ω=ωn1+4ζ42ζ2\omega = \omega_n \sqrt{\sqrt{1+4\zeta^4} - 2\zeta^2}

根据相位裕量的定义:增益交界频率时,γ=180+G(jω)\gamma = 180^\circ + \angle G(j\omega)

γ=180+[90tan1(1+4ζ42ζ22ζ)]=90tan1(1+4ζ42ζ22ζ)=tan1(2ζ1+4ζ42ζ2)\begin{aligned} \gamma &= 180^\circ + \left[ -90^\circ - \tan^{-1}\left( \frac{\sqrt{\sqrt{1+4\zeta^4}-2\zeta^2}}{2\zeta} \right) \right] \\ &= 90^\circ - \tan^{-1}\left( \frac{\sqrt{\sqrt{1+4\zeta^4}-2\zeta^2}}{2\zeta} \right) \\ &= \tan^{-1}\left( \frac{2\zeta}{\sqrt{\sqrt{1+4\zeta^4}-2\zeta^2}} \right) \end{aligned}

ζ0.6\zeta \le 0.6 时,可以线性近似成 ζγ100\zeta \approx \frac{\gamma}{100}

image-20251228213502487

谐振峰幅值和谐振频率已在二阶因子那里推导过,可以直接用结论

  1. 相位裕量:对于标准二阶系统,相位裕量 γ\gamma(单位:度) 与阻尼比 ζ\zeta 存在线性近似关系(当 ζ0.6\zeta \le 0.6 时):

ζγ100,0ζ0.6\zeta \approx \frac{\gamma}{100},\, 0 \leq \zeta \leq 0.6

  1. 谐振峰幅值 MrM_r:闭环幅频特性的最大值,只与阻尼比 ζ\zeta 有关。

Mr=12ζ1ζ2M_r = \frac{1}{2\zeta\sqrt{1-\zeta^2}}

  • Recall:最大过调量 Mp=exp(ζπ1ζ2)×100%M_p = \exp\left(-\frac{\zeta\pi}{\sqrt{1-\zeta^2}}\right) \times 100\% 只与 ζ\zeta 有关
  • 阻尼比越小,谐振峰值和过调量越大。
  • 谐振峰幅值表征了系统的相对稳定性MrM_r 越大,代表阻尼比 ζ\zeta 越小,相对稳定性越差。相应地,阶跃响应超调量 MpM_p 越大。
  • 单位阶跃响应中的最大过调量可以精确地与频率响应中的谐振峰幅值联系在一起。
  1. 谐振频率 ωr\omega_rMrM_r 对应的频率。

ωr=ωn12ζ2\omega_r = \omega_n \sqrt{1-2\zeta^2}

  • 阻尼比较小时,谐振频率与阻尼自然频率近似相同。因此,对于小的阻尼比,谐振频率的值表征了瞬态响应速度。
image-20251228210524419

**总结:**本质上,频率响应中包含的系统动态特性信息与在瞬态响应中包含的系统动态特性信息是相同的。

一般系统中阶跃瞬态响应与频率响应之间的关系

可以使用我们讲过的主导极点推广到具有一对主导共轭复数闭环极点的线性定常高阶系统

  • 谐振峰值表征了相对稳定性。(0~3分贝之间)
  • 谐振频率的大小表征了瞬态响应速度。(上升时间与之成反比,谐振频率越大,上升时间越短,瞬态响应速度越快)
  • 对于弱阻尼系统,谐振峰值频率与阶跃瞬态响应中的阻尼自然频率很接近。

4.2 闭环频域指标

  1. 带宽 ωb\omega_b:闭环幅值下降到低频值(最大值) 3dB-3\text{dB} (0.7070.707 倍) 时对应的频率范围。
    • 带宽表示系统跟踪正弦输入信号的能力。
    • 带宽指标可以表征以下的系统性能:
      • 对输入信号的跟踪/再现能力:粗略地说,带宽越宽,系统响应速度越快(上升时间 trt_r 越短)
      • 对高频噪声的滤波特性:但带宽变宽,抗高频干扰能力变差。
  2. (闭环)截止频率:闭环幅值下降到零频率幅值(低频幅值)以下 3dB(即 3dB-3dB / 0.707 倍) 时的频率
    • (闭环)截止频率和带宽是直接对应的
    • 增益交界频率(开环截止频率)与该开环系统对应的单位负反馈闭环系统的带宽/截止频率有正相关性(同向增大)。且闭环截止频率 > 开环截止频率

C(jω)R(jω)<C(j0)R(j0)3dB\left|\frac{C(j\omega)}{R(j\omega)}\right| < \left|\frac{C(j0)}{R(j0)}\right| - 3dB

  1. 剪切率(Cutoff Rate):对数幅值曲线在截止频率附近的斜率

    • 表征了系统从噪声中辨别信号的能力,反映了系统抗干扰能力

    • 闭环频率响应曲线具有锐截止特性时,可能具有大的谐振峰值幅值,这意味着系统具有比较小的稳定裕量。

4.3 闭环幅值和相角与开环传递函数在极坐标图上的关系

推导:

  • 闭环传递函数

M(jω)=G(jω)1+G(jω)=MejαM(j\omega) = \frac{G(j\omega)}{1+G(j\omega)} = M e^{j\alpha}

  • 开环传递函数

G(jω)=X+jYG(j\omega) = X + j Y

  • 闭环幅值和相角

M=X+jY1+X+jY=X2+Y2(1+X)2+Y2α=X+jY1+X+jY=arctan(YX)arctan(Y1+X)M = \frac{|X+jY|}{|1+X+jY|} = \frac{\sqrt{X^2+Y^2}}{\sqrt{(1+X)^2 + Y^2}} \quad \alpha = \angle \frac{X+jY}{1+X+jY} = \arctan\left( \frac{Y}{X} \right) - \arctan\left( \frac{Y}{1+X} \right)

基本思想:

  • 我们关心的是开环传递函数的 (X,Y)(X,Y) 和闭环传递函数的相角和幅值 (M,α)(M,\alpha) 之间的关系 (X,Y)(M,α)(X,Y) \to (M,\alpha)
  • 将幅值 M 的坐标轴(等M线)映射到 (X,Y)(X,Y)平面内,即为M圆 (X,Y)M(X,Y) \to M

等幅值轨迹 (M圆)

从幅值公式易推导出

{(x+M2M21)2+Y2=M2(M21)2M1x=12M=1\begin{cases} \left(x + \frac{M^2}{M^2-1}\right)^2 + Y^2 = \frac{M^2}{(M^2-1)^2} & M \neq 1 \\ x = -\frac{1}{2} & M = 1 \end{cases}

image-20251228215756603
  • 在复平面上,使得闭环幅值 MM 为常数的 G(jω)G(j\omega) 的轨迹是圆,称为 M圆
    • 圆心:(M2M21,0)(-\frac{M^2}{M^2-1}, 0)
    • 半径:MM21|\frac{M}{M^2-1}|
  • M=1M=1 时,轨迹为直线 x=0.5x = -0.5
  • 看图的重点:关心的是极坐标轨迹与哪个恰当的M圆相切,即最大闭环幅值,也就是谐振峰幅值
image-20251228220703766

等相角轨迹 (N圆)

  • 使得闭环相角 α\alpha 为常数的 G(jω)G(j\omega) 的轨迹也是圆,称为 N圆

N=tanα    N=tan[tan1(YX)tan1(Y1+X)]=YX2+X+YN = \tan \alpha \implies N = \tan\left[\tan^{-1}\left(\frac{Y}{X}\right) - \tan^{-1}\left(\frac{Y}{1+X}\right)\right] = \frac{Y}{X^2+X+Y}

整理一下可以得到 N圆 的轨迹方程

(X+12)2+(Y12N)2=14+(12N)2\left(X+\frac{1}{2}\right)^2 + \left(Y-\frac{1}{2N}\right)^2 = \frac{1}{4} + \left(\frac{1}{2N}\right)^2

image-20251228220918981

4.3 尼科尔斯图 (Nichols Chart)

  • 将 M圆 和 N圆 的网格叠加在对数幅相图(纵轴为 G|G| dB,横轴为 G\angle G)上。
  • 用途:已知开环频率特性 G(jω)G(j\omega),可以直接通过(叠加在图上)查图得到闭环频率特性。
image-20251228221000434

示例:

image-20251228221109540

例题:

image-20251228221131392

5. 传递函数的实验确定

5.1 根据伯德图求最小相位传递函数

假设最小相位系统,使用渐进线确定

  1. 绘制渐近线:根据实验测得的对数幅频曲线,画出直线渐近线,斜率必须是 ±20n\pm 20n dB/dec。
  2. 由低频段确定增益 KK:由低频段渐近线确定。
    • 0型:低频渐近线为水平线,高度 =20lgK= 20\lg K
    • 1型:低频渐近线斜率为 20-20 dB/dec, ω=1\omega=1 处的高度 =20lgKv= 20 \lg K_v 或渐近线延长线与 0dB 线交点处 ω=Kv\omega=K_v
    • 2型:低频渐近线斜率为 40-40 dB/dec, ω=1\omega=1 处的高度 =20lgKa= 20 \lg K_a 或渐近线延长线与 0dB 线交点处 ω=Ka\omega=\sqrt{K_a}
  3. 由中频段确定传递函数中的各个因子:由各个转折点的转折频率和转折前后的斜率变化确定。
    • 转折频率 ω=ω1\omega = \omega_1,斜率变化 20-20 dB/dec \rightarrow 惯性环节 11+jωω1\dfrac{1}{1+j\frac{\omega}{\omega_1}}
    • 转折频率 ω=ω2\omega = \omega_2,斜率变化 40-40 dB/dec \rightarrow 二阶振荡环节 11+2ζ(jωω2)+(jωω2)2\dfrac{1}{1+2\zeta (j\frac{\omega}{\omega_2}) + (j\frac{\omega}{\omega_2})^2}
      • 阻尼比需通过测得对数幅频曲线中的谐振峰值计算得到。
    • 转折频率 ω=ω1\omega = \omega_1,斜率变化 +20+20 dB/dec \rightarrow 一阶微分环节 1+jωω11 + j\frac{\omega}{\omega_1}

5.2 最小相位与非最小相位系统

  • 由实验得到的相角曲线,可用于检查由对数幅值曲线求出的传递函数,并判断系统是否为最小相位系统。

    • 对于最小相位系统,实验得到的相角曲线必须与由刚才导出的传递函数求得的理论相角曲线很好地吻合。
    • 如果由实验得到的相角在很高的频率(与转角频率比较)上不等于 90°(qp)90°(q-p)(其中 ppqq 分别表示传递函数中分子和分母多项式的次数),则传递函数必定是一个非最小相位传递函数。(必定存在非最小相位环节)
  • 最小相位系统:所有极点和零点均在 ss 平面左半部。

    • 特征:幅频特性和相频特性一一对应(Bode定理)。
  • 非最小相位系统:存在右半平面的零点,或含有纯滞后环节。

    • 特征:相比于具有相同幅频特性的最小相位系统,其相位滞后更大。
    • 如果在高频末端,由计算得到的相位滞后比实验得到的相位滞后大 180180^{\circ} ,那么在传递函数中一定有一个零点位于右半平面,而不是位于左半平面。
    • 如果计算出来的相位滞后与实验得到的相位滞后相差一个定常的相位变化率,则系统中必存在传递延迟或停歇时间(纯滞后环节)。
  • 纯滞后环节 ejωτe^{-j\omega \tau}:不改变幅频特性,但会产生随频率线性增加的相位滞后 (ϕ=57.3ωτ\phi = -57.3 \omega \tau 度),严重降低系统稳定性。

    • 如果确定系统中存在纯滞后环节,可以通过高频段的理论计算与实验测得相位滞后量的差值计算传递延迟(停歇时间)的值
    • 纯滞后环节体现在系统的高频段,所以说高频环节体现了系统的复杂性。

G(j\omega) = e^{-j\omega T} \implies |G(j\omega)| = 1 \quad \angle G(j\omega) = -\omega T \text{ rad} = -57.3 \omega T \, ^{\circ}

image-20251228231844597

一个使用高频段相位滞后量计算延迟时间的例子

Δϕ=57.3ωT=480(250)=230    T=23057.3×20=0.2s\Delta \phi = -57.3 \omega T = -480 - (-250) = 230^{\circ} \implies T =\frac{230}{57.3 \times 20} = 0.2s

image-20251228232051919

重点总结

  1. 奈奎斯特图的绘制:掌握起点(低频)、终点(高频)及与坐标轴的交点。
  2. 奈奎斯特判据:核心公式 N=ZPN = Z - P(注意 NN 的方向定义,通常 NN 为关于 (1,j0)(-1, j0) 的逆时针包围次数则 Z=PNZ = P - N;若 NN 为顺时针则 Z=N+PZ = N + P)。
  3. 稳定裕量GMGMPMPM 是衡量系统相对稳定性的关键,需熟练在奈奎斯特图和伯德图上找到它们。
  4. 频域与时域的联系MrM_r 对应超调量 σ%\sigma\%,带宽 ωb\omega_b 对应调节时间 tst_s
0%