数理方法第一章:数理方程

Chapter1 数理方程

问题背景

1.1.1 弦振动方程

假设一根弦固定在区间[0,L][0,L]上,假设它的质量密度函数ρ\rho是常数,该弦在平衡处附近做微小的横振动

image-20241119114935587

任取该弦上的一个微段[x,x+Δx][x,x+\Delta x],考察它的运动

该段弧长为

Δs=xx+Δx1+(ux)2(t,ξ)dξ\Delta s = \int_{x}^{x+\Delta x} \sqrt{1+\left( \dfrac{\partial u}{\partial x}\right)^2(t,\xi)} \, d\xi

由于是微小横振动,故可以进行近似

ΔsΔx\Delta s \approx \Delta x

水平方向上弦没有运动,弦振动方向仅为u-方向

由牛顿第二定律,F=maF = ma,结合受力分析,可以列出方程

T(x+Δx)cosβT(x)cosα=0ρΔx2ut2(t,x)=T(x+Δx)sinβT(x)sinα+xx+Δxf(t,ξ)dξT(x+\Delta x) \cos \beta - T(x) \cos \alpha = 0 \\ \rho \Delta x \dfrac{\partial^2 u}{\partial t^2}(t,\overline{x}) = T(x+\Delta x) \sin \beta - T(x) \sin \alpha + \int_{x}^{x+\Delta x} f(t,\xi) \, d\xi

image-20241119114428051

由于假设该弦只是在平衡处做微小的振动,故可以进行如下近似

cosα1cosβ1sinαtanα=ux(t,x)sinβtanβ=ux(t,x+Δx)\cos \alpha \approx 1 \quad \cos \beta \approx 1 \\ \sin \alpha \approx \tan \alpha = \dfrac{\partial u}{\partial x}(t,x) \quad \sin \beta \approx \tan \beta = \dfrac{\partial u}{\partial x}(t,x + \Delta x)

从而我们有

T(x+Δx)T(x)T(x+\Delta x) \approx T(x)

由于这个对任意微段Δx\Delta x都成立,所以我们可以认为张力在[0,L][0,L]为常数,记为T0T_0

然后就可以把方程写成

ρΔx2ut2(t,x)=T0(ux(t,x+Δx)ux(t,x))+xx+Δxf(t,ξ)dξ\rho \Delta x \dfrac{\partial^2 u}{\partial t^2}(t,\overline{x}) = T_0(\dfrac{\partial u}{\partial x}(t,x + \Delta x) - \dfrac{\partial u}{\partial x}(t,x)) + \int_{x}^{x+\Delta x} f(t,\xi) \, d\xi

Δx0\Delta x \to 0,就可以得到

utta2uxx=F(t,x)u_{tt} - a^2 u_{xx} = F(t,x)

其中

a=T0ρF(t,x)=f(t,x)ρa = \sqrt{\dfrac{T_0}{\rho}} \quad F(t,x) = \dfrac{f(t,x)}{\rho}

该方程被成为弦振动方程

1.1.2 热传导方程,扩散方程

前提知识:傅里叶导热定律

三维空间中的形式

dQ=kundSdtdQ = -k\dfrac{\partial u}{\partial \vec{n}} dS dt

一维线上的形式

q=kuxq = -k u_x

推导

考虑[t1,t2][t_1,t_2]D中温度从u(t1,x,y,z)u(t_1,x,y,z)变化到u(t2,x,y,z)u(t_2,x,y,z)

所需热量

Q1=Dρc[u(t2,x,y,z)u(t1,x,y,z)]dxdydzQ_1 = \iiint_{D} \rho c [u(t_2,x,y,z) - u(t_1,x,y,z)] dxdydz

热量满足以下关系

Q1=Q2+Q3Q_1 = Q_2 + Q_3

Q2Q_2为从边界D\partial D流入的热量,Q3Q_3为内部热源提供的热量

由Fourier实验定律,边界处的热量传导满足关系

dQ=kundSdtdQ = -k\dfrac{\partial u}{\partial \vec{n}} dS dt

其中k>0k>0,为热传导系数

从而

Q2=t1t2DkundSdtQ3=t1t2Df(t,x,y,z)dxdydzdtQ_2 = \int_{t_1}^{t_2} \iint_{\partial D} k \dfrac{\partial u}{\partial \vec{n}} dS dt \\ Q_3 = \int_{t_1}^{t_2} \iiint_{D} f(t,x,y,z) dxdydz dt

故可以将热量关系写成

Dρc[u(t2,x,y,z)u(t1,x,y,z)]dxdydz=t1t2DkundSdt+t1t2Df(t,x,y,z)dxdydzdt\iiint_{D} \rho c [u(t_2,x,y,z) - u(t_1,x,y,z)] dxdydz = \int_{t_1}^{t_2} \iint_{\partial D} k \dfrac{\partial u}{\partial \vec{n}} dS dt + \int_{t_1}^{t_2} \iiint_{D} f(t,x,y,z) dxdydz dt

将左边写成对时间积分

LHS=t1t2DρcutdxdydzdtLHS = \int_{t_1}^{t_2} \iiint_{D} \rho c \dfrac{\partial u}{\partial t} dxdydz dt


分析:式子右边可以进行如下转化

考虑热流项

un=un\dfrac{\partial u}{\partial \vec{n}} = \nabla u \cdot \vec{n}

可以把热流项化为

DkundS=DkundS=DkudS\iint_{\partial D} k \dfrac{\partial u}{\partial \vec{n}} dS = \iint_{\partial D} k \nabla u \cdot \vec{n} dS = \iint_{\partial D} k \nabla u d\vec{S}

选择热流向量场为

F=ku\vec{F} = k \nabla u

应用高斯定理,可以将热流通量转化为热流向量场的散度的体积分的形式

DkundS=D(ku)dV=Dk(u)dxdydz\iint_{\partial D} k \dfrac{\partial u}{\partial \vec{n}} dS = \iiint_{D} \nabla \cdot (k\nabla u) dV = \iiint_{D} k \nabla \cdot (\nabla u) \, dxdydz


然后整理一下,就可以把右边写成

RHS=t1t2D(k(u)+f(t,x,y,z))dxdydzdt=t1t2D(k[xux+yuy+zuz]+f(t,x,y,z))dxdydzdtRHS = \int_{t_1}^{t_2} \iiint_{D}(k \nabla \cdot (\nabla u) + f(t,x,y,z)) \,dxdydz \, dt \\ = \int_{t_1}^{t_2} \iiint_{D} \left( k [\dfrac{\partial}{\partial x} \dfrac{\partial u}{\partial x} + \dfrac{\partial}{\partial y} \dfrac{\partial u}{\partial y} + \dfrac{\partial}{\partial z}\dfrac{\partial u}{\partial z}] + f(t,x,y,z) \right) \, dxdydz \, dt

进一步可以化简成

ρcut=k[xux+yuy+zuz]+f(t,x,y,z)\rho c \dfrac{\partial u}{\partial t} = k [\dfrac{\partial}{\partial x} \dfrac{\partial u}{\partial x} + \dfrac{\partial}{\partial y} \dfrac{\partial u}{\partial y} + \dfrac{\partial}{\partial z}\dfrac{\partial u}{\partial z}] + f(t,x,y,z)

a2=kρcf~=fρca^2 = \dfrac{k}{\rho c} \quad \tilde{f} = \dfrac{f}{\rho c}

从而可以将热传导方程写成

uta2Δu=f~\dfrac{\partial u}{\partial t} - a^2 \Delta u = \tilde{f}

一维热传导方程

uta2uxx=f(t,x)u_t - a^2u_{xx} = f(t,x)

推导过程

应用热量守恒定律,进行分析

为了推导热传导方程,我们需要使用热量守恒定律。假设我们考虑长度为 Δx \Delta x 的杆段 [x,x+Δx][x, x + \Delta x],则在时间 t t t+Δt t + \Delta t 之间,热量的变化由以下部分组成:

  • 热量流入:从左端 x x 位置流入的热量为 q(x,t)Δtq(x, t) \Delta t
  • 热量流出:从右端 x+Δx x + \Delta x 位置流出的热量为 q(x+Δx,t)Δt q(x + \Delta x, t) \Delta t
  • 内部热量变化:由于温度变化,杆段内部的热量变化可以表示为内部能量的变化。假设杆的密度为 ρ \rho ,比热容为 c c ,则单位体积的热量为 ρcu(x,t) \rho c u(x, t) 。热量的变化则为:

    内部热量变化=ρcutΔxΔt\text{内部热量变化} = \rho c \frac{\partial u}{\partial t} \Delta x \Delta t

根据热量守恒定律,杆段内的热量变化等于流入的热量减去流出的热量:

q(x,t)Δtq(x+Δx,t)Δt=ρcutΔxΔtq(x, t) \Delta t - q(x + \Delta x, t) \Delta t = \rho c \frac{\partial u}{\partial t} \Delta x \Delta t

空间上的有限差分表示

将右端热流 q(x+Δx,t) q(x + \Delta x, t) 用泰勒展开式表示:

q(x+Δx,t)=q(x,t)+qxΔx+O(Δx2)q(x + \Delta x, t) = q(x, t) + \frac{\partial q}{\partial x} \Delta x + O(\Delta x^2)

代入之前的热量守恒方程,并忽略高阶项:

q(x,t)Δt(q(x,t)+qxΔx)Δt=ρcutΔxΔtq(x, t) \Delta t - \left( q(x, t) + \frac{\partial q}{\partial x} \Delta x \right) \Delta t = \rho c \frac{\partial u}{\partial t} \Delta x \Delta t

化简后可以得到:

qxΔx=ρcutΔx-\frac{\partial q}{\partial x} \Delta x = \rho c \frac{\partial u}{\partial t} \Delta x

即:

qx=ρcut-\frac{\partial q}{\partial x} = \rho c \frac{\partial u}{\partial t}

结合傅里叶导热定律

由傅里叶导热定律 q(x,t)=kuxq(x, t) = -k \frac{\partial u}{\partial x},将 q(x,t)q(x, t) 代入上式:

x(kux)=ρcut-\frac{\partial}{\partial x} \left( -k \frac{\partial u}{\partial x} \right) = \rho c \frac{\partial u}{\partial t}

这可以简化为:

k2ux2=ρcutk \frac{\partial^2 u}{\partial x^2} = \rho c \frac{\partial u}{\partial t}

得到结果:一维热传导方程

最后,我们将其整理为标准形式:

ut=α2ux2\frac{\partial u}{\partial t} = \alpha \frac{\partial^2 u}{\partial x^2}

其中:

α=kρc\alpha = \frac{k}{\rho c}

是热扩散系数,单位为 m2/s\text{m}^2/\text{s}

初始条件

初始条件即为初始温度分布

u(0,x,y,z)=φ(x,y,z)u(0,x,y,z) = \varphi(x,y,z)

边界条件

Robin边界条件

稳定状态热方程和泊松方程的关系

如果u(t,x)u(t,x)是下述热方程的解

utΔu=f(x)u_t - \Delta u = f(x)

其中热源f不依赖于时间t,解u(t,x)u(t,x)tt \to \infty有极限u(x)\overline{u}(x),且此极限状态u\overline{u}满足下述Poisson方程

Δu=f(x)-\Delta \overline{u} = f(x)

1.1.3 调和方程,Poisson方程

引力场

  1. 考虑D为空间中质量为M的质点的情况

    在空间R3R^3中给定一个物体D,其质量密度是ρ(x,y,z)\rho(x,y,z),考虑空间中引力位势所满足的方程

    由万有引力定律,

    F=GMr2PDr\vec{F} = \dfrac{G M}{r^2} \dfrac{\vec{PD}}{r}

    其中距离为

    PD=(xx0,yy0,zz0)r=PD=(xx0)2+(yy0)2+(zz0)2\vec{PD} = (x-x_0,y-y_0,z-z_0) \\ r = \lvert PD \rvert = \sqrt{(x-x_0)^2 + (y-y_0)^2 + (z-z_0)^2}

    可以写成

    F=GMr2(xx0r,yy0r,zz0r)F = -\dfrac{GM}{r^2} (\dfrac{x-x_0}{r},\dfrac{y-y_0}{r},\dfrac{z-z_0}{r})

    考虑位势函数

    φ(x,y,z)=GMr=GM(xx0)2+(yy0)2+(zz0)2\varphi(x,y,z) = \dfrac{GM}{r} = \dfrac{GM}{\sqrt{(x-x_0)^2 + (y-y_0)^2 + (z-z_0)^2}}

    可以得到

    φ=F\nabla \varphi = \vec{F}

  2. 一般情况

image-20241119125347114

考虑引力微元

dF=Gρ(ξ,η,ζ)r2(xx0r,yy0r,zz0r)dξdηdζd\vec{F} = -\dfrac{G\rho(\xi,\eta,\zeta)}{r^2} (\dfrac{x-x_0}{r},\dfrac{y-y_0}{r},\dfrac{z-z_0}{r}) d \xi d \eta d \zeta

总引力为

F=DGρ(ξ,η,ζ)r2(xx0r,yy0r,zz0r)dξdηdζ\vec{F} = - \iiint_D \dfrac{G\rho(\xi,\eta,\zeta)}{r^2} (\dfrac{x-x_0}{r},\dfrac{y-y_0}{r},\dfrac{z-z_0}{r}) d \xi d \eta d \zeta

其中

r=(xx0)2+(yy0)2+(zz0)2r = \sqrt{(x-x_0)^2 + (y-y_0)^2 + (z-z_0)^2}

引力位势为

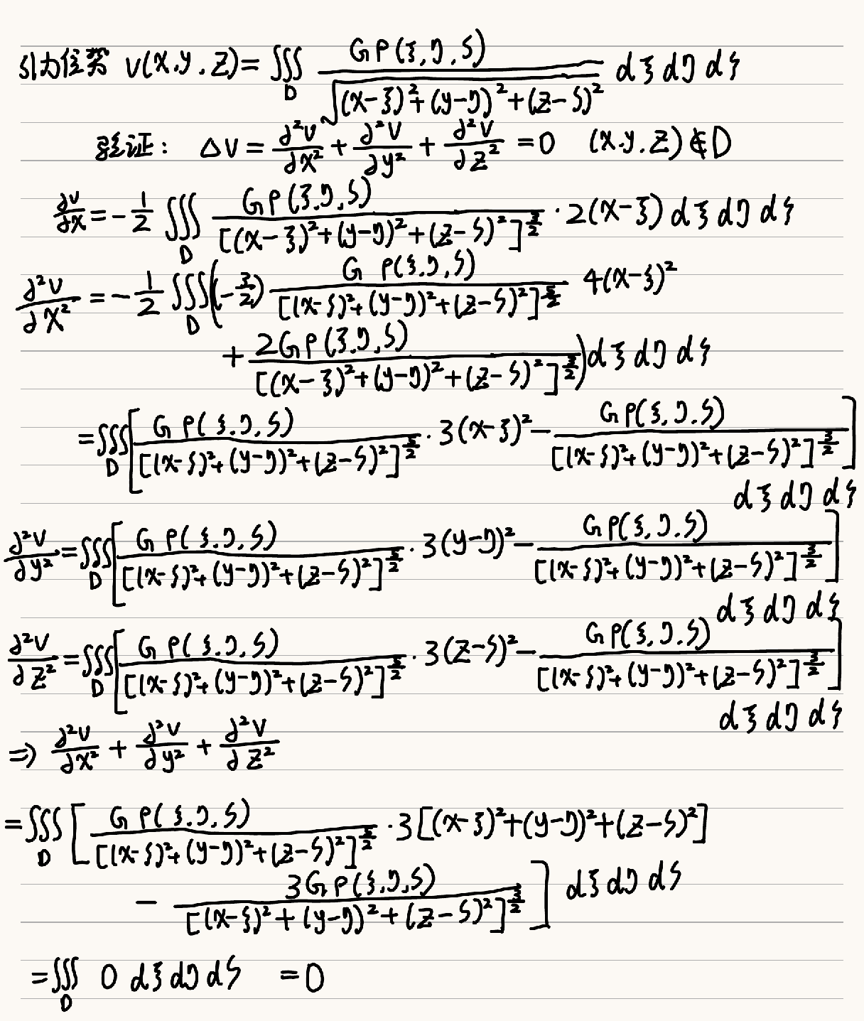
v(x,y,z)=DGρ(ξ,η,ζ)rdξdηdζ=DGρ(ξ,η,ζ)(xx0)2+(yy0)2+(zz0)2dξdηdζv(x,y,z) = \iiint_D \dfrac{G\rho(\xi,\eta,\zeta)}{r} d \xi d \eta d \zeta \\ = \iiint_D \dfrac{G\rho(\xi,\eta,\zeta)}{\sqrt{(x-x_0)^2 + (y-y_0)^2 + (z-z_0)^2}} d \xi d \eta d \zeta

可以验证

Δv=0\Delta v = 0

其中Laplace算子为

Δϕ=2ϕ=2ϕx2+2ϕy2+2ϕz2\Delta \phi = \nabla^2 \phi = \frac{\partial^2 \phi}{\partial x^2} + \frac{\partial^2 \phi}{\partial y^2} + \frac{\partial^2 \phi}{\partial z^2}

这就是Laplace方程

电场(电势函数)

1. 应用高斯定理

首先,利用 高斯通量定理(Gauss’ flux theorem)来描述电场 E\mathbf{E} 和电荷分布之间的关系。图中提到的高斯定理是:

ΓEndS=1ϵ0Q\int_{\Gamma} \mathbf{E} \cdot \mathbf{n} \, dS = \frac{1}{\epsilon_0} Q

其中:

  • Γ\Gamma 是包围电荷的闭合曲面的边界。
  • n\mathbf{n} 是指向外的单位法向量。
  • ϵ0\epsilon_0 是真空介电常数。
  • Q=DρdVQ = \int_D \rho \, dV 是区域 DD 内的总电荷量,ρ\rho 是电荷密度。

根据高斯定理,电场通量与总电荷成正比。

2. 将高斯定理转化为体积分形式

通过 散度定理(数学上的高斯定理),将曲面积分转化为体积分:

ΓEndS=DEdV\int_{\Gamma} \mathbf{E} \cdot \mathbf{n} \, dS = \int_D \nabla \cdot \mathbf{E} \, dV

因此,结合高斯定理,我们可以得到:

DEdV=1ϵ0DρdV\int_D \nabla \cdot \mathbf{E} \, dV = \frac{1}{\epsilon_0} \int_D \rho \, dV

由于该等式对任意区域 DD 都成立,因此积分号可以去掉,得到点形式:

E=1ϵ0ρ\nabla \cdot \mathbf{E} = \frac{1}{\epsilon_0} \rho

这就是麦克斯韦方程组中的 高斯定律,它表明电场的散度等于电荷密度 ρ\rho 除以介电常数 ϵ0\epsilon_0

3. 结合库仑定律

根据 库仑定律,电场 E\mathbf{E} 可以通过电势函数 φ\varphi 表示为:

E=φ\mathbf{E} = -\nabla \varphi

将这个表达式代入高斯定律E=ρϵ0\nabla \cdot E = \frac{\rho}{\epsilon_0}中,得到:

(φ)=1ϵ0ρ\nabla \cdot (-\nabla \varphi) = \frac{1}{\epsilon_0} \rho

化简后,得到拉普拉斯算子的形式:

2φ=1ϵ0ρ-\nabla^2 \varphi = \frac{1}{\epsilon_0} \rho

因此,电势函数 φ\varphi 满足的方程为:

2φ=1ϵ0ρ\nabla^2 \varphi = -\frac{1}{\epsilon_0} \rho

这就是 Poisson 方程,用于描述电势函数 φ\varphi 在电荷分布 ρ\rho 影响下的空间分布。

4. Poisson 方程的形式

总结得到的 Poisson 方程 为:

Δφ=1ϵ0ρ\Delta \varphi = -\frac{1}{\epsilon_0} \rho

其中 Δ\Delta 是拉普拉斯算子,表示为:

Δφ=2φ=2φx2+2φy2+2φz2\Delta \varphi = \nabla^2 \varphi = \frac{\partial^2 \varphi}{\partial x^2} + \frac{\partial^2 \varphi}{\partial y^2} + \frac{\partial^2 \varphi}{\partial z^2}

最终表达式

Δφ=1ϵ0ρ\boxed{\Delta \varphi = -\frac{1}{\epsilon_0} \rho}

这就是 Poisson 方程,用于描述在三维空间中电荷分布 ρ\rho 产生的电势函数 φ\varphi

具体的计算验证过程如下:

image-20241119131112591

1.2 基本概念与叠加原理

  1. 线性的PDE的解满足线性叠加原理,也就是说一个线性PDE的两个解线性叠加以后得到的仍然是这个线性PDE的解
  2. 初边值问题有方程齐次边界条件非齐次,方程非齐次边界条件齐次等情况
  3. 适定性=存在性+唯一性+稳定性
    • 稳定性指的是定解问题的解连续依赖于源项ff,初始数据(ϕ,ψ)(\phi,\psi)和边界数据(μ1.μ2)(\mu_1.\mu_2),也就是如果其中一部分有轻微扰动,对解的影响也是轻微的

线性叠加原理

0%