数理方法第六章:共形映射

Chapter6 共形映射

6.1 共形映射的定义

6.1.1 复变函数导数的几何意义

原像曲线

在区域 DD 内通过 z0z_0 任意引一条有向光滑曲线:

C:z=z(t)=x(t)+iy(t),(αtβ)C: z = z(t) = x(t) + i y(t), \quad (\alpha \leq t \leq \beta)

  • z0=z(t0)z_0 = z(t_0), t0[α,β]t_0 \in [\alpha, \beta]。如果 z(t0)0z'(t_0) \neq 0,则 CCz0z_0 点有切线,切向量为:

z(t0)=x(t0)+iy(t0),z'(t_0) = x'(t_0) + i y'(t_0),

它与 zz-平面上 xx轴(实轴)的夹角为:

θ=Arg(z(t0)).\theta = \text{Arg}(z'(t_0)).

设函数 w=f(z)w = f(z) 在区域 DD 内解析,点 z0Dz_0 \in Df(z0)0f'(z_0) \neq 0


像曲线

函数 w=f(z)w = f(z)zz-平面上的曲线 CC 变为 ww-平面上经过点 w0=f(z0)w_0 = f(z_0) 的曲线:

Γ:w=f(z(t)),(αtβ)\Gamma: w = f(z(t)), \quad (\alpha \leq t \leq \beta)

  • 因为:

w(t0)=f(z0)z(t0)0,w'(t_0) = f'(z_0) z'(t_0) \neq 0,

Γ\Gamma 在点 w0w_0 也有切线,切向量为:

w(t0).w'(t_0).

导数辐角的几何意义

分析

像曲线与 ww 平面上 uu(实)轴的夹角为:

φ=Arg(w(t0))=Arg(f(z0))+Arg(z(t0)),\varphi = \text{Arg}(w'(t_0)) = \text{Arg}(f'(z_0)) + \text{Arg}(z'(t_0)),

于是:

Arg(f(z0))=Arg(w(t0))Arg(z(t0))=φθ.\text{Arg}(f'(z_0)) = \text{Arg}(w'(t_0)) - \text{Arg}(z'(t_0)) = \varphi - \theta.

分析:
如果把 zz 平面与 ww 平面叠放在一起,使点 z0z_0 与点 w0w_0 重合,使两实轴同向平行,则 CC 在点 z0z_0 的切线与 Γ\Gamma 在点 w0w_0 的切线之间的夹角 φθ\varphi - \theta 就是 Arg(f(z0))\text{Arg}(f'(z_0))

换句话说,Γ\Gamma 在点 w0w_0 的切线可由 CC 在点 z0z_0 的切线转动一个角 Arg(f(z0))\text{Arg}(f'(z_0)) 得到。


转动角的性质

  • 显然,Arg(f(z0))\text{Arg}(f'(z_0)) 仅与 z0z_0 有关,而与过 z0z_0 的曲线 CC 的形状和方向无关,这种性质称为转动角的不变性
  • 导数辐角 Arg(f(z0))\text{Arg}(f'(z_0)) 称为映射 w=f(z)w = f(z)z0z_0 处的转动角/旋转角

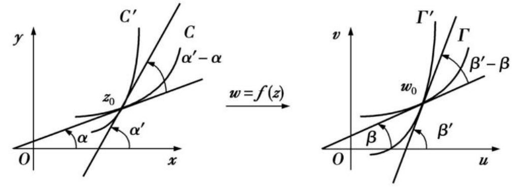
两条曲线映射的例子讨论

image-20250113151549041

讨论区域 DD 内过点 z0z_0 的两条有向光滑曲线 CCCC' 的情形:

  • CCCC'ww 平面的像曲线分别为 Γ\GammaΓ\Gamma'
  • α\alphaα\alpha' 分别记 CCCC'z0z_0 点的切线与 xx 轴正方向的夹角;
  • β\betaβ\beta' 分别表示 Γ\GammaΓ\Gamma'w0w_0 点的切线与 uu 轴正方向的夹角。

于是有:

β=α+Arg(f(z0)),β=α+Arg(f(z0)),\beta = \alpha + \text{Arg}(f'(z_0)), \quad \beta' = \alpha' + \text{Arg}(f'(z_0)),

故:

ββ=αα.\beta' - \beta = \alpha' - \alpha.

  • αα\alpha' - \alphaCCCC' 在点 z0z_0 的夹角(经过 z0z_0 的两条有向曲线 CCCC' 的切线方向所构成的角,称为两曲线在该点的夹角,反时针方向为正);
  • ββ\beta' - \betaΓ\GammaΓ\Gamma' 在点 w0=f(z0)w_0 = f(z_0) 的夹角(反时针方向为正)。

5. 结论

映射 w=f(z)w = f(z) 在点 z0z_0 既保持了夹角的大小,又保持夹角的方向,这种性质称为映射的保角性

导数的模 f(z0)\lvert f'(z_0) \rvert 的几何意义

由于 Δz\lvert \Delta z \rvertΔw\lvert \Delta w \rvert 分别是向量 Δz\Delta zΔw\Delta w 的长度,故:

f(z0)=limzz0ww0zz0=limΔz0ΔwΔz=limΔz0ΔsΔσ=dsdσ    ds=f(z0)dσ\lvert f'(z_0) \rvert = \lim_{z \to z_0} \frac{w - w_0}{z - z_0} = \lim_{\Delta z \to 0} \frac{\lvert \Delta w \rvert}{\lvert \Delta z \rvert} = \lim_{\Delta z \to 0} \frac{\lvert \Delta s \rvert}{\lvert \Delta \sigma \rvert} = \frac{ds}{d\sigma} \implies ds = \lvert f'(z_0) \rvert d\sigma

这说明像点间的无穷小距离与原像点间的无穷小距离之比的极限是 f(z0)\lvert f'(z_0) \rvert


几何意义

这可以看成是曲线 CCw=f(z)w = f(z) 映射后在 z0z_0 点的伸缩系数伸缩率

它仅与 z0z_0 有关,而与曲线 CC 的形状和方向无关,这个性质称为映射 w=f(z)w = f(z)z0z_0 点的伸缩率不变性


具体情况

  • f(z0)>1\lvert f'(z_0) \rvert > 1 时,从 z0z_0 点出发的任意无穷小距离经 w=f(z)w = f(z) 映射后都被伸长了;
  • f(z0)<1\lvert f'(z_0) \rvert < 1 时,从 z0z_0 点出发的任意无穷小距离经 w=f(z)w = f(z) 映射后都被压缩了。

定理6.1

设函数 w=f(z)w = f(z) 在区域 DD 内解析,点 z0Dz_0 \in Df(z0)0f'(z_0) \neq 0,则映射 w=f(z)w = f(z)z0z_0 点具有以下两个性质:

  1. 保角性
    z0z_0 的任意两条曲线间的夹角在映射 w=f(z)w = f(z) 下,既保持大小,又保持方向。

  2. 伸缩率不变性

总结

w=f(z)w = f(z) 在区域 DD 内解析,点 z0Dz_0 \in Df(z0)0f'(z_0) \neq 0w0=f(z0)w_0 = f(z_0),则:

  1. w=f(z)w = f(z) 把某 zz 平面内的无穷小曲边三角形映射为某 ww 平面内的一个无穷小曲边三角形。由于保保持了曲线间的夹角大小和方向,故这两个小三角形近似地“相似”。

  2. 近似地有:

    Δwf(z0)Δz\lvert \Delta w \rvert \approx \lvert f'(z_0) \rvert \lvert \Delta z \rvert

    w=f(z)w = f(z)zz 平面内的一个半径充分小的圆周 zz0=r\lvert z - z_0 \rvert = r 近似映射为 ww 平面上的圆周 ww0=f(z0)r\lvert w - w_0 \rvert = \lvert f'(z_0) \rvert r

例题

例6.1
试求映射 f(z)=ln(z1)f(z) = \ln(z - 1) 在点 z0=1+2iz_0 = -1 + 2i 处的旋转角,并说明映射将 zz 平面的哪一部分放大了,哪一部分缩小了。

z0=1+2iz_0 = -1 + 2i 处有:

f(z0)=1z01=12(1i)=1+i4.f'(z_0) = \frac{1}{z_0 - 1} = \frac{1}{-2(1 - i)} = \frac{1 + i}{-4}.

旋转角

Argf(z0)=3π4.\text{Arg}f'(z_0) = -\frac{3\pi}{4}.

放大与缩小分析

由于:

f(z)=1z1,f'(z) = \frac{1}{z - 1},

所以:

  • f(z)<1\lvert f'(z) \rvert < 1 时,即在区域 z1>1\lvert z - 1 \rvert > 1 内,图形缩小;
  • f(z)>1\lvert f'(z) \rvert > 1 时,即在区域 z1<1\lvert z - 1 \rvert < 1 内,图形放大。

6.2 分式线性映射

6.2.1 分式线性映射的概念

定义 6.3

w=az+bcz+d(a,b,c,dC 且 adbc0)w = \frac{az + b}{cz + d} \quad (a, b, c, d \in \mathbb{C} \text{ 且 } ad - bc \neq 0)

所确定的函数称为分式线性映射。此外,还规定

w()=ac,w(dc)=(c0)w(\infty) = \frac{a}{c}, \quad w\left(-\frac{d}{c}\right) = \infty \quad (c \neq 0)

  • 条件 adbc0ad - bc \neq 0 是必要的,否则,如果 adbc=0ad - bc = 0,则 ww 为常数。
  • 易知分式线性映射的逆映射 $$ z = \frac{-dz + b}{cz - a} $$ 也是一个分式线性映射。两个分式线性映射的复合仍然是一个分式线性映射。

分解

分式线性映射式

w=az+bcz+dw = \frac{az + b}{cz + d}

是由下述 3 种简单映射复合而成:

  1. w=z+h,w = z + h,

  2. w=kz,w = kz,

  3. w=1z.w = \frac{1}{z}.

事实上,当 c=0c = 0 时,w=az+bcz+dw = \frac{az + b}{cz + d} 即为

w=adz+bdw = \frac{a}{d}z + \frac{b}{d}

由 (1)、(2) 复合而成

c0c \neq 0 时,ww

w=az+bcz+d=ac+bcadc1cz+d,w = \frac{az + b}{cz + d} = \frac{a}{c} + \frac{bc - ad}{c} \cdot \frac{1}{cz + d},

它即为下述形态 (1)、(2)、(3) 的映射

ξ=cz+d,η=1ξ,w=bcadcη+ac.\xi = cz + d, \quad \eta = \frac{1}{\xi}, \quad w = \frac{bc - ad}{c} \eta + \frac{a}{c}.

三种基本映射

下面对我们来考虑上述 3 种映射的几何意义,为方便起见,把 ww 平面与 zz 平面的实轴、虚轴分别重合,用同一平面上的点表示 wwzz

平移变换

w=z+hw = z + h

由于复数相加可以化为向量相加,所以 w=z+hw = z + h 就是将 zz 沿向量 hh 的方向平行移动 hh 个单位,因此把映射 w=z+hw = z + h 称为平移。

旋转与伸缩变换

w=kzw = kz

z=reiθz = re^{i\theta}, k=teiφk = te^{i\varphi}, 那么 w=rtei(θ+φ)w = rte^{i(\theta + \varphi)},这说明只要将 zz 先旋转一个角度 φ\varphi,再将 zz 缩伸 tt 倍,所得向量的终点就是 ww。因此把映射 w=kzw = kz 称为旋转与伸缩

反演变换

定义 6.4 设圆周 C:z=rC: |z| = r,如果 PPPP' 同时位于以圆心 OO 为起点的射线上满足

OPOP=r2|OP| |OP'| = r^2

则称 PPPP' 为关于圆周 CC 的对称点。

  • 规定:无穷远点 \infty 与圆心 OO 是关于单位圆周的对称点。
  • PP 在圆周 CC 内,则点 PPOPOP 的垂线交圆周 CC 于点 AA,再通过 AA 作圆周 CC 的切线交射线 OPOP 于点 PP',那么 PPPP' 即为对称点。

再来考察下面这个变换

w=1zw = \frac{1}{z}

它可以看作是由 w1=1z,w=w1w_1 = \frac{1}{\overline{z}}, w = \overline{w_1} 复合而成,称作反演变换

z=reiθz = re^{i\theta},则

w1=1z=1reiθ,w=1w1=1reiθ.w_1 = \frac{1}{z} = \frac{1}{r} e^{-i\theta}, \quad w = \frac{1}{w_1} = \frac{1}{r} e^{i\theta}.

arg(z)=arg(w1)w1=1zarg(w)=arg(w1)\arg(z) = \arg(w_1) \quad |w_1| = \frac{1}{|z|} \quad \arg(w) = -\arg(w_1)

image-20250101203720403

说明:

  1. 通常 w=1zw = \frac{1}{\overline{z}} 称为关于圆周的对称变换,而把 w=zw = \overline{z} 称为关于实轴的对称变换
  2. zzw1w_1 是关于单位圆周 z=1|z| = 1 的对称点,w1w_1ww 是关于实轴的对称点。这样我们就可以很容易地从 zz 出发作出 ww

分式线性映射的性质

保角性

定理 6.8

分式线性映射式

w=az+bcz+dw = \frac{az + b}{cz + d}

CC 上处具有保角性,且为共形映射。

证明过程如下


定义 6.5 两曲线在无穷远点的夹角,就是指它们在反演变换下的像曲线在原点处的夹角。

首先讨论映射 $$w = \frac{1}{z}$$,由于

dwdz=1z2\frac{dw}{dz} = -\frac{1}{z^2}

因此映射在 z0z \neq 0zz \neq \infty 的各处是共形的

  1. 映射w=1z w = \frac{1}{z} 的像经过反演变换ζ=1z\zeta = \frac{1}{z}后的映射 $$w = \frac{1}{z} = \zeta$$ 在 ζ=0\zeta = 0 处解析,且

dwdζζ=0=10\frac{dw}{d\zeta} |_{\zeta=0} = 1 \neq 0

故映射 $$w = \frac{1}{z}$$ 在 z=z = \infty 处是共形的。

  1. z=1wz = \frac{1}{w} 知映射 $$z = \frac{1}{w}$$ 在 w=w = \infty 处是共形的

故映射 $$w = \frac{1}{z}$$ 在 CC 上处处共形


其次,讨论复合映射 $$w = kz + h (k \neq 0)$$,

(1) 当 zz \neq \infty 时,由于

dwdz=k0,\frac{dw}{dz} = k \neq 0,

映射是共形的,从而具有保角性。

(2) 映射 $$w = kz + h (k \neq 0)$$ 在 z=z = \infty 处是共形的。

为了证明映射在 z=z = \infty (像点 w=w = \infty) 处保角, 引入两个反演变换:

ζ=1z,η=1w.\zeta = \frac{1}{z}, \quad \eta = \frac{1}{w}.

将映射 $$w = kz + h$$ 转化为映射 $$\eta = \frac{\zeta}{k + h \zeta}$$,显然它在 ζ=0\zeta = 0 处解析,且有

dηdζζ=0=k(k+hζ)2ζ=0=1k.\frac{d\eta}{d\zeta} |_{\zeta=0} = \frac{k}{(k + h \zeta)^2}|_{\zeta=0} = \frac{1}{k}.

映射在 ζ=0\zeta = 0 处是共形的。

所以映射 $$w = kz + h (k \neq 0)$$ 在 CC 上处共形。


保圆性

圆的方程的复数表示

圆的方程为

A(x2+y2)+Bx+Cy+D=0A(x^2 + y^2) + Bx + Cy + D = 0

代入

x=z+zˉ2y=zzˉ2ix = \frac{z + \bar{z}}{2} \quad y = \frac{z - \bar{z}}{2i}

得到复数形式

Azzˉ+βˉz+βzˉ+D=0(β=12(B+iC))Az\bar{z} + \bar{\beta} z + \beta \bar{z} + D = 0 \quad (\beta = \frac{1}{2}(B+iC))

推导过程
  • 映射 $$w = kz + h \quad (k \neq 0)$$ 将 zz 经平移、旋转与伸缩而得到 ww。扩充 zz 平面上的一个圆周或一条直线经过映射所得到的像曲线仍然是一个圆周或一条直线。这说明映射 $$w = kz + h$$ 在扩充 zz 平面上把圆周映射成圆周,也称具有保圆性。
  • 圆周复数形式为 $$Az\bar{z} + \bar{\beta} z + \beta \bar{z} + D = 0$$,在映射 $$w = \frac{1}{z}$$ 下的像为 A+βˉwˉ+βw+Dwwˉ=0A + \bar{\beta} \bar{w} + \beta w + Dw\bar{w} = 0。当 D0D \neq 0 时表示一个圆周;当 D=0D = 0 时表示直线。

结论

定理 6.9
分式线性映射式

w=az+bcz+dw = \frac{az + b}{cz + d}

CC 上的圆周映射成 JJ 的圆周。

如果给定的圆周(包括直线)上没有点映射成无穷远点,那么它的像就是半径有限的圆周;如果有一个点映射成无穷远点,那么它的像就是直线。

保对称性

  • z_1, z_2$$ 关于圆周 $C: |z - a| = R$ 对称,是指 $z_1, z_2$ 都在过圆心 $a$ 的同一条射线上,并且

|z_1 - a| \cdot |z_2 - a| = R^2.

此外,规定圆心 $a$ 与点 $\infty$ 关于圆周 $C$ 对称,由此可知,$$z_1, z_2$$ 关于圆周对称 $C: |z - a| = R$,当且仅当

z_2 - a = \frac{R^2(z_1 - a)}{|z_1 - a|^2}.

##### 证明 设过 $z_1, z_2$ 的任一圆周 $\Gamma'$ 是过 $z_1, z_2$ 的圆周 $\Gamma$ 在分式线性映射下的像,由于 $z_1, z_2$ 关于圆周 $C$ 对称,由定理知 $\Gamma$ 与 $C$ 正交,而分式线性映射具有保角性,所以 $\Gamma'$ 与 $C'$ 也必正交,因此 $$w_1, w_2$$ 关于圆周的像曲线 $C'$ 也对称。 #### 保交比性 **定义 6.6 (交比)** $C$ 上有顺序的 4 个相异点 $z_1, z_2, z_3, z_4$,交比定义为

(z_1, z_2, z_3, z_4) = \frac{z_4 - z_1}{z_4 - z_2} : \frac{z_3 - z_1}{z_3 - z_2}.

- 当 4 点中有一点为 $\infty$ 时,应将包含此点的项用 1 代替。例如 $z_1 = \infty$ 时,即有

(\infty, z_2, z_3, z_4) = \frac{1}{z_4 - z_2} : \frac{1}{z_3 - z_2}.

也可先视 $z_1$ 为有限,再令 $z_1 \to \infty$ 取极限而得。 ##### 定理 6.12 在分式线性映射式 $$w = \frac{az + b}{cz + d}$$ 下,任意 4 点的交比不变。 ##### 证明 设 $$w_k = \frac{az_k + b}{cz_k + d} \quad (k = 1, 2, 3, 4)$$,则

w_i - w_j = \frac{(ad-bc)(z_i-z_j)}{(cz_i + d)(cz_j + d)}

代入可得代入可得

\begin{aligned}
(w_1,w_2,w_3,w_4) &= \frac{w_4 - w_1}{w_4 - w_2} : \frac{w_3 - w_1}{w_3 - w_2} \
&= \frac{\frac{(z_4-z_1)}{(cz_4 + d)(cz_1 + d)}}{\frac{(z_4-z_2)}{(cz_4 + d)(cz_2 + d)}} : \frac{\frac{(z_3-z_1)}{(cz_3 + d)(cz_1 + d)}}{\frac{(z_3-z_2)}{(cz_3 + d)(cz_2 + d)}}\
&= \frac{(z_4 - z_1)}{(z_4 - z_2)} : \frac{(z_3 - z_1)}{(z_3 - z_2)} = (z_1, z_2, z_3, z_4)
\end{aligned}

### 确定分式线性映射的方法 - 在分式线性映射式

w = \frac{az + b}{cz + d}

中包含有 4 个复参数 $a, b, c, d$,由于 $ad - bc \neq 0$,可以知道这些参数中至少有一个不为零,如果用它约c去分子和分母,就可将分式中的 4 个参数化为 3 个独立的复参数。因此,分式线性映射式

w = \frac{az + b}{cz + d}

中实质上只有 3 个独立的复参数。因此,只需给定 3 个条件,就能唯一确定一个分式线性映射。 - 假设在 $z$ 平面上任意给定 3 个相异的点 $z_1, z_2, z_3$ 并指定变换为 $w$ 平面上的点 $w_1, w_2, w_3$。将 $z_k \ (k = 1, 2, 3)$ 依次映射成 $w_k \ (k = 1, 2, 3)$,易知:

\frac{w - w_1}{w - w_2} \cdot \frac{w_3 - w_1}{w_3 - w_2} = \frac{z - z_1}{z - z_2} \cdot \frac{z_3 - z_1}{z_3 - z_2}.

可以确定唯一的一个分式线性映射式,即 3 个对应点可唯一确定一个分式线性映射。 #### 映射特性 综上所述,分式线性映射式

w = \frac{az + b}{cz + d}

具有以下重要映射性质: 1. 设 $z_0$ 是简单闭曲线 $C$ 内部任意一点,如果点 $z_0$ 的像 $w_0$ 在 $C'$ 的内部,那么 $C$ 的内部就映射成 $C'$ 的内部;如果 $z_0$ 的像 $w_0$ 在 $C'$ 的外部,那么 $C$ 的内部就映射成 $C'$ 的外部。通常把这种确定映射区域的方法称为**内点确定法**。 2. 如果 $C$ 为圆周,$C'$ 为直线,那么 $C$ 的内部映射成 $C'$ 的某一侧,可由直线方向确定。 3. 当两个圆周上没有点映射成无穷远点时,则两个圆周的区域映射成两圆环所围成的区域。 4. 当两个圆周上有一个点(非交点)映射成无穷远点时,则两个圆周的区域映射成一个圆环与一直线所围成的区域。 5. 当两个圆周交点中的一个点映射成无穷远点时,则两个圆周的区域映射成两个圆周的孤所围成的区域。 ### 6.2.3 分式线性映射的应用 在处理边界为圆周、圆弧、直线及直线段的区域的共形映射中,分式线性映射起着极为重要的作用。 **例 6.8** 设分式线性映射 $w = \frac{az + b}{cz + d}$ 将圆周 $|z| = 1$ 映射为直线,那么它的参数应满足什么条件? 解:首先,分式线性映射应满足 $ad - bc \neq 0$。 其次,由于映射把圆周 $|z| = 1$ 映射为直线,则此圆周上必有某点被映射为 $\infty$。即存在 $|z_0| = 1$ 满足 $$ w = \frac{az_0 + b}{cz_0 + d} = \infty,

从而 cz0+d=0,az0+b0cz_0 + d = 0, az_0 + b \neq 0

因此,dc=z0=1|-\frac{d}{c}| = |z_0| = 1

特别的,adbc0,c=dad - bc \neq 0, |c| = |d|,对任意 z=1|z| = 1 必有 az+b0az + b \neq 0

所以,参数应满足 adbc0ad - bc \neq 0c=d|c| = |d|

几个典型的分式线性映射

把上半平面 Imz>0\text{Im} z > 0 映射成上半平面 Imw>0\text{Im} w > 0 的分式线性映射
  • 实轴映射到实轴,根据保交比性,a,b,c,da,b,c,d均为实数

  • argwz=x(y=0)=0    w=a(cz+d)(az+b)c(cz+d)2=adbc(cz+d)2>0    adbc>0\begin{aligned} &\arg w' |_{z=x \,(y=0)} = 0 \\ \implies& w' = \frac{a(cz+d) - (az+b)c}{(cz+d)^2} = \frac{ad-bc}{(cz+d)^2} > 0 \\ \implies& ad-bc > 0 \end{aligned}

  • 注:这个变化也会把实轴映射到实轴,下半平面映射到下半平面


把上半平面 Imz>0\text{Im} z > 0 映射成单位圆内部 w<1|w| < 1 的分式线性映射,并将点 z0z_0Imz0>0\text{Im} z_0 > 0)映射为单位圆圆心 w(z0)=0w(z_0) = 0

由于满足w(z0)=0w(z_0) = 0,故az0+b=0az_0 + b = 0,即b=az0b = -az_0,从而有

w=zz0mz+n,m=ca,n=daw = \frac{z - z_0}{m z + n}, \quad m = \frac{c}{a}, \quad n = \frac{d}{a}

另外,z0z_0 关于实轴 Imz=0\text{Im} z = 0 对称的点是 z0ˉ\bar{z_0},而 00 关于单位圆周 w=1|w| = 1 对称的点是 \infty

根据分式线性映射的保对称性,点 z0ˉ\bar{z_0} 应映射为 \infty。所以有

mz0ˉ+n=0,n=mz0ˉm \bar{z_0} + n = 0, \quad n = -m \bar{z_0}

因此所求映射应有形式:

w=kzz0zz0ˉw = k \frac{z - z_0}{z - \bar{z_0}}

其中 kk 为待定常数。

根据边界对应定理,实轴上任意一点z=xz=x应该映射到单位圆周w=1|w| = 1

1=w=kzz0zz0ˉ=kxz0xz0ˉ=k    k=11 = |w| = \left|k\right| \left|\frac{z-z_0}{z-\bar{z_0}}\right| = \left|k\right| \frac{|x-z_0|}{|x-\bar{z_0}|} = |k| \implies |k| = 1

故映射具有形式

w=eiθzz0zz0ˉ(θR)w = e^{i\theta} \frac{z - z_0}{z - \bar{z_0}} \quad (\theta \in \mathbb{R})

由于式子 w=eiθzz0zz0w = e^{i\theta} \frac{z - z_0}{z - z_0} 中的实参数 θ\theta 并不确定,所以映射并不唯一。为使映射唯一,尚需附加条件:

  1. 或者指出映射在实轴上一点与单位圆周上某点的对应关系,
  2. 或者指出映射在 z0z_0 处的转动角 argw(z0)\arg w'(z_0)

对于映射式 w=eiθzz0zz0ˉw = e^{i\theta} \frac{z - z_0}{z - \bar{z_0}}

由于

w(z0)=eiθ(zz0)(zz0ˉ)(zz0ˉ)2z=z0=eiθ1z0z0ˉw'(z_0) = e^{i\theta} \frac{(z-z_0)-(z-\bar{z_0})}{(z-\bar{z_0})^2} |_{z = z_0} = e^{i\theta}\frac{1}{z_0-\bar{z_0}}

故有

argw(z0)=θπ2\arg w'(z_0) = \theta - \frac{\pi}{2}


把单位圆内部 z<1|z| < 1 映射成单位圆内部 w<1|w| < 1 的分式线性变换,并将点 z0z_0z0<1|z_0| < 1)映射为圆心 00

分析一下就可以知道要满足以下两个映射:z0z_0映射到0,z0z_0的关于单位圆的对称点1z0ˉ\frac{1}{\bar{z_0}}映射到\infty

{w(z0)=0w(1z0ˉ)=\begin{cases} w(z_0) = 0 \\ w(\frac{1}{\bar{z_0}}) = \infty \end{cases}

故这个分式线性映射有如下形式

w=k1zz0z1z0ˉ=k1z0zz01z0ˉz=kzz01z0ˉzw = k_1 \frac{z-z_0}{z-\frac{1}{\bar{z_0}}} = - k_1 z_0 \frac{z-z_0}{1-\bar{z_0}z} = k \frac{z-z_0}{1-\bar{z_0}z}

又由于要把单位圆映射到单位圆

z=1w=1|z| = 1 \to |w| = 1

z=1z=1,有

w=k1z01z0ˉ=k    k=1|w| = |k \frac{1-z_0}{1-\bar{z_0}}| = |k| \implies |k| = 1

故有如下形式

w=eiθzz01z0ˉz(θR)w = e^{i\theta} \frac{z-z_0}{1-\bar{z_0}z} \quad(\theta \in \mathbb{R})

还需要证明一下充分性

z=1,w=eiθzz01z0ˉz=zz01z0ˉz=zz0zzˉz0ˉz=zz0z(zˉz0ˉ)=1zzz0zz0=1|z| = 1, |w| = \left|e^{i\theta} \frac{z-z_0}{1-\bar{z_0}z}\right| = \left|\frac{z-z_0}{1-\bar{z_0}z}\right| = \left|\frac{z-z_0}{z\bar{z} - \bar{z_0} z}\right| = \left|\frac{z-z_0}{z(\bar{z} - \bar{z_0})}\right| = \frac{1}{|z|} \frac{|z-z_0|}{|\overline{z-z_0}|} = 1

同样,要确定 θ\theta 还需要给出一些附加条件,和上面的类似。

  1. 或者指出映射在单位圆周 z=1|z| = 1 上一点与单位圆周 w=1|w| = 1 上某点的对应关系,
  2. 或者指出映射在 z0z_0 处的转动角 argw(z0)\arg w'(z_0)

对于映射式

w=eiθzz01z0ˉzw = e^{i\theta} \frac{z-z_0}{1-\bar{z_0}z}

求导得到

w(z0)=eiθ(1z0ˉz)+(zz0)z0ˉ(1z0ˉz)2z=z0=eiθ11z0ˉz0=eiθ11z2w'(z_0) = e^{i\theta} \frac{(1-\bar{z_0}z) + (z-z_0)\bar{z_0}}{(1-\bar{z_0}z)^2} |_{z = z_0} = e^{i\theta} \frac{1}{1-\bar{z_0}z_0} = e^{i\theta} \frac{1}{1-|z|^2}

故有

argw(z0)=θ\arg w'(z_0) = \theta

例题

例 6.9

试求将下半平面 Imz<0\text{Im} z < 0 映射成下半平面 Imw<0\text{Im} w < 0 的分式线性映射,并使得 w(i)=1i,w(0)=0w(-i) = 1 - i, w(0) = 0

设分式线性映射为

w=az+bcz+dw = \frac{az + b}{cz + d}

由于半平面 Imz<0\text{Im} z < 0 映射成下半平面 Imw<0\text{Im} w < 0,故 a,b,c,da, b, c, d 都是实数,并且 adbc>0ad - bc > 0

  • 由于 w(0)=0w(0) = 0,故 b=0b = 0,并且由于ad>0ad>0,故a0,d0a \neq 0 , d \neq 0
  • 由于 w(i)=1iw(-i) = 1 - i1i=zmz+n1 - i = \frac{z}{mz + n},其中 m=ca,n=dam = \frac{c}{a}, n = \frac{d}{a} 都是常数。

w(i)=1iw(-i) = 1 - i 代入得到:

(nm)(n+m)i=i(n - m) - (n + m) i = -i

因此 n=m=12n = m = \frac{1}{2}

所以求映射为:

w=2zz+1w = \frac{2z}{z + 1}

例 6.12 求将圆 z<r|z| < r 映射成圆 w<R|w| < R 的分式线性映射,且满足

w(z0)=w0,argw(z0)=θ.w(z_0) = w_0, \quad \arg w'(z_0) = \theta.

分析:

这个映射不能直接求得,而需要分几步来完成,主要是非单位圆!

解:

  1. w1=zrw_1 = \frac{z}{r} 将圆 z<r|z| < r 映射为单位圆 w1<1|w_1| < 1

    w1(z0)=z0r,argw1(z0)=0w_1(z_0) = \frac{z_0}{r}, \quad \arg w_1'(z_0) = 0

  2. η=eiθ1w1r1rw1\eta = e^{i\theta_1} \frac{w_1 - r}{1 - r w_1} 将单位圆 w1<1|w_1| < 1 映射为单位圆 η<1|\eta| < 1

    η(z0r)=0,argη(z0)=θ1\eta\left( \frac{z_0}{r} \right) = 0, \quad \arg \eta'(z_0) = \theta_1

    映射 wηw \rightarrow \eta 的旋转角为 θ1\theta_1

  3. w2=wRw_2 = \frac{w}{R} 将圆 w<R|w| < R 映射为单位圆 w2<1|w_2| < 1

    w2(w0)=w0R,argw2(w0)=0w_2(w_0) = \frac{w_0}{R}, \quad \arg w_2'(w_0) = 0

  4. η=eiθ2w2w0R1w0Rw2\eta = e^{i\theta_2} \frac{w_2 - \frac{w_0}{R}}{1 - \frac{w_0}{R} w_2} 将单位圆 w2<1|w_2| < 1 映射为单位圆 η<1|\eta| < 1

    η(w0R)=0,argη(w0)=θ2\eta\left( \frac{w_0}{R} \right) = 0, \quad \arg \eta'(w_0) = \theta_2

    映射 wηw \rightarrow \eta 的旋转角为 θ2\theta_2

所以,复合 2 与 4 得:

eiθ2wRw0R1w0ˉRwR=eiθ1zz0rz0e^{i\theta_2} \frac{\frac{w}{R} - \frac{w_0}{R}}{1 - \frac{\bar{w_0}}{R}\frac{w}{R}} = e^{i\theta_1} \frac{z - z_0}{r - z_0}

R(ww0)R2ww0=ei(θ1θ2)r(zz0)r2zz0\frac{R(w - w_0)}{R^2 - w w_0} = e^{i(\theta_1 - \theta_2)} \frac{r(z - z_0)}{r^2 - z z_0}

并且

argw(z0)=θ1θ2=θ\arg w'(z_0) = \theta_1 - \theta_2 = \theta

满足条件的分式线性映射为:

w=eiθr(zz0)r2zz0w = e^{i\theta} \frac{r(z - z_0)}{r^2 - z z_0}

0%